[拼音]:tuopianyi
[外文]:ellipsometer
一种用于测量一束偏振光从被研究的表面或薄膜上反射后偏振状态产生变化的光学仪器,用它可以得到表面或薄膜的有关物理参量的信息。
椭圆偏振测量是一种非常实用的光学技术,它已有100多年的发展历史。1808年,┵.-L.马吕斯探测到反射光线的偏振特性,1889年P.K.L.德鲁德建立了椭圆偏振测量的基本方程式,奠定了椭圆偏振测量技术的发展基础。它是一种无损的测量方法,并且对于表面的微小变化有极高的灵敏性,例如可以探测出清洁表面上只有单分子层厚度的吸附或污染。特别是近年来,这一技术与微型计算机相结合,达到了测量步骤简化及计算更为迅速的效果,使这一古老的方法获得了新生。它在各个领域中,如物理、化学、材料和照相科学、生物学以及光学、半导体、机械、冶金和生物医学工程中得到了广泛的应用。
原理当一束光线倾斜入射到一表面或薄膜上时,平行于入射面振动的 p偏振分量和垂直于入射面振动的s偏振分量在满足切向分量连续的边界条件下,因入射媒质、基片和薄膜材料对于p偏振和s偏振有不同的光学反射系数,在表面或薄膜上反射时,p偏振和s偏振的反射振幅和反射位相也各不相同。当入射光是一束线偏振光时,在一般情况下,从表面或薄膜上反射后,p偏振和s偏振之间产生了不同的振幅衰减和相对位相差墹=δp-δS(δp和δS别是p偏振和s偏振的位相差)。反射光电矢量终端的轨迹是一椭圆,称为椭圆偏振光。轨迹方程是
如入射光的p偏振和s偏振有相同的并为1的振幅,则 a1、a2分别为沿水平和垂直方向的分振动振幅。可见表征椭圆偏振必须要三个独立的量,例如振幅a1、a2和位相差墹,也可以用物理因次全一样的参量──斯托克斯参量等来表征偏振态。
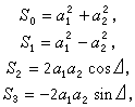
一个平面单色波的斯托克斯参量是下列四个量
其中只有三个量是独立的,因为它们之间存在着下列恒等式关系:
。
在传统的补偿式椭偏仪中实际测量的是样品的 p偏振和s偏振的复数振幅反射系数的比值ρ
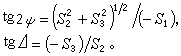
称ψ和墹为表面或薄膜与基片组合的椭圆参量。因为参量ψ和墹是表面或薄膜的光学常量的函数,从而通过测量椭圆参量,便可确定表面或薄膜的光学性质。
在近代光度式椭偏仪中,实际测量的是反射光强度随旋转检偏器(或其他元件)的方位的变化,通过傅里叶分析得到斯托克斯参量。假定入射的线偏振光对于入射面有45°的方位,则斯托克斯参量和传统的椭圆参量ψ和墹有如下的关系:
类型
椭偏仪中最具有代表性的是补偿式和光度式两种类型。
最基本的补偿式(或称消光式)椭偏仪由偏振器、四分之一波片(或补偿器)、样品、检偏器等部件构成。从光源出射的光束,经过方位可以旋转的起偏器,成为在某一方位的线偏振光,当它再经过快轴的方位相对于起偏器的方位为 45°或135°的四分之一波片时就变成椭圆偏振光,p偏振和s偏振的振幅相等,但它们相对于被测表面的水平及垂直方向的位相差则仅决定于起偏器的方位,可以在0°~360°之间变化。所以只要调节起偏器的方位,使入射的椭圆偏振光经过表面或薄膜反射后重新补偿成线偏振光,最后用检偏器基于消光的原理测定反射线偏振光的方位。根据起偏器和检偏器的方位的读数,便可确定椭圆参量ψ和墹。这种消光型的椭偏仪具有最高的测试准确度。光度式椭偏仪,一般是通过连续旋转检偏器(或补偿器),测量随检偏器的方位变化而变化的反射光强度,从而得到样品的斯托克斯参量。另一种光度式椭偏仪是利用电光或压电技术调制光束的偏振状态,称为偏振调制椭偏仪。光度式椭偏仪适于快速测量,而且有较高的重复精度,但是一般说来,准确度不如传统的消光型椭偏仪。
- 参考书目
- R.M.A.Azzam and N.M.Bashara,Ellipsometry and Polarized Light, North-Holland, Amsterdam,New York,Oxford, 1977.