明安图(?~约1764)

图

中国清代数学家、天文学家。字静庵。蒙古族正白旗人。生年不详,约卒于乾隆二十九年。少年时为官学生,后被选派至钦天监,专门学习天文、历法和数学。当时康熙帝正热衷于学习和研究科学技术,因此,他也常有机会入宫听讲。康熙五十一年(1712),康熙帝至避暑山庄,有一批著名科学家随行,他是随行人员中惟一列名的官学生。康熙帝曾亲自就天文数学问题进行提问,并解答他所提出的问题。结业后,毕生在钦天监作,曾任钦天监时宪科五官正近四十年,主要负责推算日月五星运行,编订时宪书(即民用历书),以及主持时宪书满蒙文本的翻译等。乾隆二十四年(1759),升任钦天监监正。在天文学方面,他参加了三部重要天文学著作的编著。第一部为《历象考成》,他担任考测工作。该书分上下两编,共42卷,主要成就是在实测方面,如根据实测改进了第谷体系的黄赤交角数据等。第二部为《历象考成后编》,共10卷。其理论、算法和所用数据都比《历象考成》有很大进步。他任该书副总裁和汇编,是该书的主要作者之一。第三部为《仪象考成》,共32卷他担任推算工作。该书介绍了新制造的大型天文仪器玑衡抚辰仪的性能和用法。它所载录的星表,是在实测和推算的基础上编成的,记录了3083颗恒星的黄道坐标和赤道坐标,达到了当时的世界先进水平。

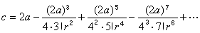
明安图在数学上有很深的造诣,特别是对三角函数和反三角函数的幂级数展开式问题,进行了深入研究,获得了丰硕成果。清初,法国传教士杜德美曾向中国学者介绍了三个无穷级数公式,但没有给出证明。这三个公式为π的无穷级数公式,正弦和正矢的幂级数展开式: ① 圆径求周

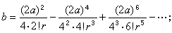
(2)弧背求正弦

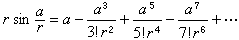
(3)弧背求正矢

式中r 为圆半径;αAC 弧长。 梅瑴成曾将其收录于《赤水遗珍》。明安图花费三十余年心血,刻苦钻研这些公式的证明方法。他的功绩在于把中国古代传统数学知识与当时传入的西方数学知识结合起来,融会贯通,创用割圆连比例法和级数回求法,不仅圆满地证明了这三个公式,而且得出了有关弦、弧、矢和半径相互关系的另外六个公式。

(1)弧背求通弦

(2)弧背求矢

(3)通弦求弧背

(4)正弦求弧背

(5)正矢求弧背

(6)矢求弧背

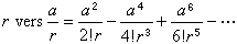
式中cAD弦长;2αAD 弧长;bBC 中矢长(即弓形的高)。所谓割圆连比例法就是把弧等分,利用连比例的方法,推算弧与弦的关系(见

图

)。他曾自述:“以上九法,皆至精至密,任有圆线求直线,有直线求圆线,虽推至无穷,靡不合也。”

明安图的数学成就总结在《割圆密率捷法》一书中。该书共四卷,卷一“步法”,罗列了所得到的各无穷级数公式,卷二“用法”,系各公式在数学和天文学问题上的应用,卷三、四为“法解”上、下,阐述了各公式的证明方法。这部著作在他生前只完成一部分,后由其学生陈际新、张肱、其子明新续成(1774)。他的成就和所创立的方法,对于清代幂级数研究领域产生了很大影响。明安图在测绘地图方面也有重要贡献,乾隆二十一年(1756)和二十四年(1759),他两次亲往新疆测绘地图,完成了准噶尔地区和天山南部地区的测量与绘图任务。著名的《乾隆内府舆图》就是在《康熙皇舆全图》和这两次实地测量的基础上绘制而成的。