[Æ´Òô]£ºxiaoyuanfa
[ÍâÎÄ]£ºelimination method
ÓÖ³ÆÏûÈ¥·¨¡£½âÏßÐÔ´úÊý·½³Ì×éµÄÖ÷Òª·½·¨Ö®Ò»¡£ÔçÔÚ¶«ººÒÔǰ£¬Öйú¹Å´úÖøÃûµÄÊýÑ§Öø×÷¡¶¾ÅÕÂËãÊõ¡·ÖоÍÓÐÁËÓÃÏûÔª·¨½â·½³Ì×éµÄ·½·¨¡£Ö±µ½½ñÈÕ£¬ÏûÔª·¨ÈÔÊǽâÏßÐÔ´úÊý·½³Ì×éµÄÒ»¸öºÜÖØÒªµÄ·½·¨¡£ÔÚһЩ¹ú¼ÒµÄÊýÑ§Öø×÷ÖÐÒ²³£Óøß˹ÏûÈ¥·¨ÕâÒ»Ãû´Ê¡£
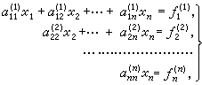
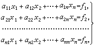
ÏûÔª·¨½âÏßÐÔ´úÊý·½³Ì×éʱ£¬½«Ä³Ò»·½³Ì³ËÒÔijЩ³£Êý·Ö±ð¼Óµ½ÆäËû·½³ÌÉÏ£¬ÒÔÏûÈ¥ÕâЩ·½³ÌÖеÄijһδ֪Á¿¡£Öظ´Ê©ÐÐÕâÒ»²½Ö裬¾Í¿ÉÖð²½Ïûȥδ֪Á¿£¬×îºóֻʣÏÂÒ»¸öδ֪Á¿¡£ÓþØÕóµÄÓïÑÔÀ´ËµÒ²¾ÍÊǶԷ½³Ì×éµÄϵÊý¾ØÕó»òÔö¹ã¾ØÕó(¼ÓÉÏÓÒ¶ËÏîËù³ÉµÄ¾ØÕó)½øÐгõµÈ±ä»»£¬Ê¹ËüµÄÒ»Ð©ÔªËØ(ÀýÈçÖ÷¶Ô½ÇÏßÒÔϵÄÔªËØ)ΪÁã¡£¾ßÌåµØËµ£¬Éè·½³Ì×éΪ
¡¡¡¡¡¡¡¡¡¡¡¡(1)
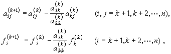
ʽÖÐαij(i£¬j=1£¬2£¬¡£¬n)ºÍƒ1£¬ƒ2£¬¡£¬ƒn¶¼ÊÇÒÑÖªÊý£¬x1£¬x2£¬¡£¬xnΪ´ýÇóµÄ½â¡£Éèα11²»ÎªÁ㣬½«µÚÒ»¸ö·½³Ì·Ö±ð³ËÒÔ-α21/α11£¬-α31/α11£¬¡£¬-αn1/α11¼Óµ½µÚ2ÖÁµÚn¸ö·½³ÌÉÏ£¬¾ÍÏûÈ¥ÁËÕâЩ·½³ÌÖеÄx1£¬·½³Ì×黯³É
¡¡¡¡¡¡ (2)
ÕâÀïΪÁËͳһÆð¼û£¬Òѽ«α11£¬α12£¬¡£¬α
¶¼²»ÎªÁ㣬×îºóµÃµ½
¡¡ ¡¡¡¡¡¡ (3)
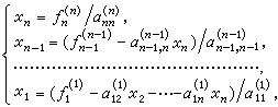
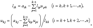
ÉÏÊö¹ý³Ì¿É±íʾΪ£º¶Ôk=1£¬2£¬¡£¬n-1£¬
ʽÖÐ
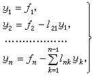
ÓÐÁË(3)¾Í¿É·´ÍÆÇó³ö(1)µÄ½â£º
Õâ³ÆÎª»Ø´ú¹ý³Ì£¬¶øÇ°ÃæÏûÈ¥µÄ²½Öè³ÆÎªÏûÈ¥¹ý³Ì¡£
ÔÚÏûÈ¥¹ý³ÌÖУ¬ÓÐʱ¿ÉÄÜÓöµ½α
=0µÄÇé¿ö£¬µ«Èô·½³Ì×é(1)ÓÐΩһ½â£¬ÔòÔÚ
ÖÐÖÁÉÙÓÐÒ»¸ö²»ÎªÁ㣬ÀýÈç α‹¹¡Ù0£¬ÄÇôֻҪ½«ÕâʱµÄµÚk¸ö·½³ÌºÍµÚj¸ö·½³Ì»¥»»£¬¼´¿É¼ÌÐø½ø½øÏûÈ¥¡£ÓÐʱËäα
¡Ù0£¬µ«£üα
£üºÜС£¬´ËʱÍùÍù´øÀ´½Ï´óÎó²î£¬´Ó¶øÊ¹×îºóµÃµ½µÄ½â²»¹»¾«È·£¬ÉõÖÁÃæÄ¿È«·Ç¡£Îª±ÜÃâÕâÖÖÇé¿ö£¬Ò²Òª½øÐÐÉÏÊö½»»»£¬½«
ÖÐ×î´óÕßËùÔڵķ½³ÌÓëµÚk¸ö·½³Ì½»»»£¬Õâ½Ð×öÁÐÖ÷ÔªËØÏûÔª·¨»ò²¿·ÖÖ÷ÔªËØÏûÔª·¨£¬Ò²¿ÉÔÚºón-k+1¸ö·½³ÌµÄËùÓеÄϵÊýÖÐÕÒ³ö¾ø¶ÔÖµ×î´óµÄ¶øºó½øÐз½³ÌºÍδ֪Á¿µÄ½»»»£¬Õâ½Ð×öÈ«Ö÷ÔªËØÏûÔª·¨£¬µ«ÕâÖÖ·½·¨¹¤×÷Á¿½Ï´ó£¬Ò»°ãÓÃÁÐÖ÷ÔªËØÏûÈ¥·¨½ÏºÃ¡£
·½³Ì×é(1)¿Éд³É¾ØÕóµÄÐÎʽ
¡¡¡¡ ¡¡ (4)
ʽÖÐA Ϊ(1)µÄϵÊýαijËù³ÉµÄ¾ØÕ󣬌²ºÍƒ ·Ö±ðΪÁÐÏòÁ¿(x1£¬x2£¬¡£¬xn)TºÍ(ƒ1£¬ƒ2£¬¡£¬ƒn)T;ÔòÒÔÉϵÄÏûÈ¥¹ý³Ì¿ÉдΪ
ʽÖÐ
¶ø
pkΪʹ¾ØÕóµÄµÚkÐÐÓëÆäºóµÄijÐн»»»µÄÅÅÁÐÕ󣬵±²»Ðè½øÐн»»»Ê±£¬ÔòÎÞ´ËpkÒò×Ó»òpk=I£¨n½×µ¥Î»Õ󣩡£
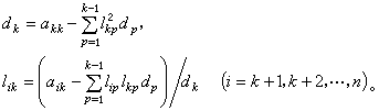
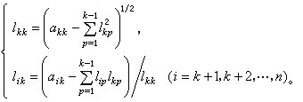
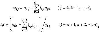
Èý½Ç·Ö½â·¨ÓÖ³ÆÒò×ӷֽⷨ£¬ÊÇÓÉÏûÔª·¨ÑÝ±ä¶øÀ´µÄ½âÏßÐÔ´úÊý·½³Ì×éµÄÒ»ÖÖ·½·¨£¬Ëü½«·½³Ì×é(4)ÖеÄϵÊý¾ØÕóA·Ö½â³ÉÏÂÈý½ÇÐξØÕóLºÍÉÏÈý½ÇÐξØÕó UÖ®»ý¡£ËüÓм¸ÖÖÐÎʽ£¬ÀýÈç¿ÉÈ¡LµÄ¶Ô½ÇÏßÔªËØÎª1£¬¼´LΪµ¥Î»ÏÂÈý½ÇÐξØÕó¡£ÕâÖÖÇéÐÎϽ«LºÍUÏà³Ë£¬²¢ÓëA±È½Ï£¬¿ÉÖªLºÍUµÄÔªËØlijºÍuij¿ÉÓÉÏÂÁеÝÍÆ¹«Ê½¸ø³ö£º¶Ôk=1£¬2£¬¡£¬n£¬
¼ÆËã˳ÐòΪÏÈËãUµÄµÚÒ»ÐУ¬ÔÙËãLµÄµÚÒ»ÁУ¬È»ºóUµÄµÚ¶þÐУ¬LµÄµÚ¶þÁеȵȣ¬ÆäÖй涨ºÍÊý
ΪÁ㣨ÏÂͬ£©¡£µÃµ½LºÍUºó£¬(4)¿ÉдΪÁ½¸ö·½³Ì×é
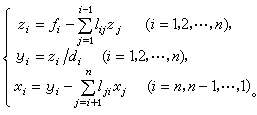
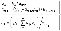
ÉèyµÄ·ÖÁ¿Îªy1£¬y2£¬¡£¬yn£¬ÈÝÒ׵óö
¡¡¡¡¡¡(5)
ºÍ
¡¡¡¡¡¡(6)
ÔÚ·Ö½âÒò×Óʱ£¬ÎªÁ˱ÜÃâ³ýÊýukkΪÁã»ò£üukk£üÉõС´øÀ´½Ï´óÎó²î£¬Ò²¿ÉÔÚUµÄÿÐÐÔªËØukk£¬uk£¬k+1£¬uk£¬nËãºÃºó£¬ÔÚÕâÐ©ÔªËØÖÐÑ¡Ö÷Ôª£¬È»ºó½øÐÐÁеĽ»»»¡£´ËʱҪעÒ⣬Œ²µÄ·ÖÁ¿Ò²Ó¦ÏàÓ¦µØ½øÐн»»»¡£ÒÔÉϵķ½·¨³ÆÎª¶ÅÀûÌØ¶û·Ö½â·¨¡£ÈôÈ¡LΪÏÂÈý½ÇÐξØÕó£¬UΪµ¥Î»ÉÏÈý½ÇÐξØÕó£¬ÔòΪ¿ËÀÍÌØ·Ö½â·¨£¬ÆäËãʽΪ£º¶Ôk£½1£¬2£¬¡£¬n£¬
¼ÆËãʱ£¬ÏÈËãLµÄµÚÒ»ÁУ¬ÔÙËãUµÄµÚÒ»Ðеȵȣ¬Í¬Ñù¿ÉÔÚËãÍêlkk£¬lk+1£¬k£¬¡£¬lnkºóÑ¡Ö÷Ôª£¬½øÐÐÐеĽ»»»£¬µ«Í¬Ê±Òª½«ƒ µÄ·ÖÁ¿½øÐÐÏàÓ¦µÄ½»»»¡£ÆäÇó½âµÄ¹ý³ÌÒ²ºÍ(5)¡¢(6)ÀàËÆ¡£
ÈôAΪ¶Ô³ÆÕý¶¨¾ØÕ󣬿ÉÉè
´Ë´¦LΪÏÂÈý½ÇÐξØÕó£¬LTΪÆäתÖ㬼ÆË㹫ʽΪ:¶Ôk=1£¬2£¬¡£¬n¡£
¼ÆËãʱÏÈËãLµÄµÚÒ»ÁУ¬ÔÙ˳´ÎËãÆäºó¸÷ÁУ¬Õâ½Ð×öƽ·½¸ù·¨»òÇÇÀÕ˹»ù·¨¡£ÔÚAΪ¶Ô³ÆÕý¶¨Ê±£¬lkk¾ù²»ÎªÁ㣬¹Ê¿ÉÒÔ²»Ñ¡Ö÷Ôª£¬µ«Õâ¸ö·½·¨ÐèÒªn´Î¿ª·½ÔËË㣬¶ø¿ª·½µÄ¹¤×÷Á¿½Ï¶à¡£ÈôÉè
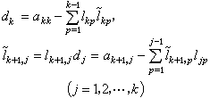
´Ë´¦LΪµ¥Î»ÏÂÈý½ÇÐξØÕó£¬DΪ¶Ô½Ç¾ØÕ󣬯ä¶Ô½ÇÏßÔªËØ¼ÇΪd1£¬d2£¬¡£¬dn£¬Ôò¼ÆË㹫ʽΪ£º¶Ôk=1£¬2£¬¡£¬n£¬
¶Ôÿ¸ök£¬ÏÈËãdk£¬ÔÙËãLµÄµÚkÁС£ÎªÁ˽ÚÊ¡ÔËËãÁ¿£¬¿É±£´æ³Ë»ý
¶ø¶Ôk=1£¬2£¬¡£¬n£¬°´
Ò»ÐÐÐеؼÆË㣬¼´°´d1£¬
21£¬l21£¬d2£¬
31£¬l31£¬
32£¬l32£¬d3£¬¡µÄ˳Ðò¼ÆËã¡£Çó½â¹ý³ÌΪ
Õâ½Ð×ö¸Ä½øµÄÇÇÀÕ˹»ù·½·¨¡£
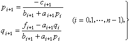
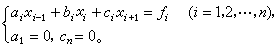
×·¸Ï·¨½âϵÊý¾ØÕó AΪÈý¶Ô½Ç¾ØÕóµÄÏßÐÔ´úÊý·½³Ì×éµÄ³£Ó÷½·¨¡£Éè·½³Ì×éΪ
µÚÒ»¸ö·½³Ì¿ÉдΪ
Ò»°ãµØ£¬ÓÐ
¡¡¡¡¡¡ ¡¡(7)
°ÑËü´úÈëµÚi+1¸ö·½³ÌÖУ¬¿ÉµÃ
¡¡ ¡¡(8)
ÓÉ(8)¿ÉÒÔÖð´ÎµÝÍÆÇó³öp1£¬q1£¬p2£¬q2£¬¡£¬pn£¬qn£¬Õâ³ÆÎª¡°×·¡±µÄ¹ý³Ì£¬Ò×Öªpn=0£¬È»ºóÓÉ(7)¿ÉÒÀ´ÎÇóµÃxn£¬xn-1£¬¡£¬x1£¬Õâ½Ð¡°¸Ï¡±µÄ¹ý³Ì¡£¿ÉÒÔÖ¤Ã÷£¬ÔÚ
¼´AΪǿ¶Ô½ÇÓÅÊÆ¾ØÕóÇé¿öÏ£¬¼ÆËãÊÇÎȶ¨µÄ£¬¼´ÉáÈëÎó²îµÄÓ°ÏìºÜС¡£Òò´Ë×·¸Ï·¨ÊÇÐÐÖ®ÓÐЧµÄ¡£Êµ¼ÊÉÏ×·¸Ï·¨¾ÍÊÇ¿ËÀÍÌØ·Ö½â·¨¡£¶Ô¿éÈý¶Ô½Ç¾ØÕó£¬Ò²ÓÐÀàËÆµÄËùν¡°¿é×·¸Ï¡°µÄ·½·¨£¬È»¶øËüÐèÒªÇóһϵÁеÄÄæ¾ØÕ󣬼ÆËãÁ¿¿ÉÄܽϴó¡£
Ö±½Ó·¨µÄijЩÎÊÌâ½âÏßÐÔ´úÊý·½³Ì×éµÄ·½·¨·ÖÖ±½Ó·¨ºÍµü´ú·¨Á½´óÀ࣬ÉÏÃæµÄ·½·¨¶¼ÊôÖ±½Ó·¨µÄ·¶³ë¡£ÔÚÓÃÖ±½Ó·¨Çó½âʱ£¬Òª¸ù¾ÝϵÊý¾ØÕóµÄÐÔÖʺͼÆËã»úµÄÐÔÄÜ£¬´ÓÄÚ´æ¡¢¼ÆËãÁ¿¡¢Îȶ¨ÐÔµÈһЩ·½ÃæÀ´¿¼ÂÇ¡£¾ÍһЩ¼ÆËã»ú¶øÑÔ£¬³Ë³ý·¨ËùÐèʱ¼ä½Ï¼Ó¼õ·¨¶àµÃ¶à£¬¹ÊÓ¦¾¡Á¿¼õÉٳ˳ý·¨¡£ÉÏÃæµÄ¸ß˹ÏûÈ¥·¨¡¢¶ÅÀûÌØ¶û·¨¡¢¿ËÀÍÌØ·¨Öеij˳ý·¨ºÍ¼Ó¼õ·¨µÄ´ÎÊý¾ù
ÊýÁ¿¼¶£¬¶øÇÇÀÕ˹»ù·¨ÓÉÓÚÀûÓÃÁ˶ԳƵÄÐÔÖÊ£¬¾ÍÖ»ÓÐ
¡£ÔÚ¼ÆËãÖУ¬ÖмäÁ¿Ó¦¾¡Á¿´æ´¢ÔÚÔ¾ØÕóAÒÔºó²»ÔÙÓõÄÔªËØµÄλÖã¬ÀýÈç·Ö½â·¨µÄLºÍUµÄÔªËØ¼´¿ÉÕ¼ÓÃAµÄÏàÓ¦ÔªËØµÄλÖá£Ìرð¶ÔÏ¡Êè¾ØÕó£¬Ó¦¸ù¾Ý¾ØÕóµÄÐÎ×´£¬Ñ¡ÔñÌØÊâµÄ¼ÆËã·½·¨ÒÔ¾¡Á¿½ÚÊ¡¼ÆËãÁ¿ºÍ±ÜÃâ²úÉú½Ï¶àµÄ·ÇÁãÔªËØ¡£¶ÔÈý¶Ô½Ç¾ØÕóÇéÐεÄ×·¸Ï·¨¾ÍÊÇÒ»¸öÍ»³öµÄÀý×Ó¡£
µ±ÓÃijÖÖ·½·¨Çó³ö·½³Ì×é(1)»ò(4)µÄ½âʱ£¬ÓÉÓÚÉáÈëÎó²îµÄÓ°Ï죬ËüÒ»°ã²»ÊÇ·½³Ì×éµÄ¾«È·½âŒ²£¬¶øÖ»ÊÇÒ»¸ö½üËÆ½â‘O¡£½«‘O´úÈëÔ·½³Ì£¬ÈôÊ£ÓàÏòÁ¿r=A‘O-ƒ¸÷·ÖÁ¿µÄ¾ø¶ÔÖµ¾ùÉõС£¬Ò»°ã¾Í¿ÉÈÏΪ ‘OÊDZȽϾ«È·µÄ½üËÆ½â£¬Ò²¿ÉÈÎȡһÒÑÖªÏòÁ¿z£¬½Ï¾«È·µØ£¨ÀýÈçÓÃË«¾«¶È£©Ëã³öÏòÁ¿b=Az£¬È»ºóÓýâAŒ²=ƒ ͬÑùµÄ·½·¨½âAz=b£¬µÃ½üËÆ½â‰–¡£Ò»°ã¾ÍÓÃ
×÷Ϊ Œ²µÄ½üËÆ½â‘OµÄÎó²î¡£È»¶øÕâÖÖ·½·¨Ò²²»ÊǾø¶Ô¿É¿¿µÄ¡£Ìرð¶Ô²¡Ì¬¾ØÕó¡¢¾ØÕóµÄÔªËØ»ò·½³Ì×éµÄÓҶ˵Ä΢С±ä¶¯¿ÉÒÔµ¼Ö·½³Ì×éµÄ½âºÜ´ó±ä¶¯¡£ÕâÖÖÎó²î¹À¼ÆµÄ·½·¨ÊÇÍþ¶û½ðÑ·µÄÒ»¸öÖØÒª½á¹û£¬È»¶ø×÷³öµÄÉϽçÍùÍùÆ«¸ß¡£ÈçºÎ¸üºÃµØ¹À¼ÆÎó²îÈÔ´ýÑо¿¡£
ΪÁËÌá¸ß½âµÄ¾«¶È£¬ÏÂÊöµü´ú¸Ä½ø·¨»¹ÊÇ¿ÉÈ¡µÄ:É茲0Ϊ(4)µÄ½üËÆ½â£¬¼ÆËã
£¬
ÔÙÖð²½Çó³ö·½³Ì×é
µÄ½üËÆ½â¦¤Œ²1£¬¦¤Œ²2£¬¡£¬´Ë´¦
ÕâÑùµÃµ½µÄÐòÁÐŒ²0£¬Œ²1=Œ²0+¦¤Œ²1£¬Œ²2=Œ²1+¦¤Œ²2£¬¡ÍùÍùÄÜÖ𲽸ü½üËÆÓÚ·½³Ì×éµÄ¾«È·½â¡£´ËÍâÒ²»¹ÓÐÆäËûһЩ·½·¨¡£
¾ØÕóÇóÄæ·¨¸ø¶¨Ò»¸ö·ÇÆæÒì¾ØÕóA£¬ÇóAµÄÄæ¾ØÕóA-1±¾ÖÊÉÏÊǽâÒ»×éÏßÐÔ´úÊý·½³Ì×éµÄÎÊÌâ¡£ÊÂʵÉÏÓÉAp=I(µ¥Î»¾ØÕó)£¬¿ÉÖªÄæ¾ØÕópµÄµÚiÁÐËù³ÉµÄÏòÁ¿piӦΪ·½³Ì×éApi=eiµÄ½â£¬´Ë´¦eiΪµÚi¸ö·ÖÁ¿Îª1¡¢ÆäÓà·ÖÁ¿ÎªÁãµÄÁÐÏòÁ¿¡£Êµ¼ÊÇóÄæ¾ØÕóʱ£¬¿ÉÓÃÏûÔª·¨À´¼ÆËã¡£ÔÚÇ°ÃæµÄ¸ß˹ÏûÔª·¨ÖУ¬Ã¿²½¿ÉÒÔ²»½ö½«¶Ô½ÇÏßÒÔϵÄÔªËØÏû³ÉÁã¶øÇÒ½«¶Ô½ÇÏßÒÔÉϵÄÔªËØÒ²Ïû³ÉÁ㣬²¢Ê¹¶Ô½ÇÏßÔªËØÎª1¡£Óë¸ß˹ÏûÔª·¨ÏàÀàËÆ£¬¿ÉÒԵõ½
ÕâÀïNkΪÔÚµÚk²½½«¾ØÕóA(k)=Nk-1¡N2N1AµÄµÚkÁбäΪekµÄ¾ØÕó¡£¾ßÌåÇóÄæÊ±£¬¿É°´ÏÂÁв½Öè½øÐУ¬ÆäÖÐαij£¬αik£¬αkj£¬αkk¾ùÖ¸µ±Ê±ÔÚAµÄÏàÓ¦ÔªËØÎ»ÖÃÉϵÄÊý£º¶Ôk£½1£¬2£¬¡£¬nµÄÿ¸ök£¬ÒÀ´Î×ö¢Ù¼ÆËãd=1/αkk£¬²¢·ÅÔÚαkk´¦£»
£¨2£©¶Ôi¡Ùk¼ÆËã£dαik£¬²¢·ÅÔÚαik´¦£»
£¨3£©µ±iºÍj¾ù²»µÈÓÚkʱ¼ÆËãαij£«αikαkj²¢·ÅÔÚαij´¦£»
£¨4£©¶Ôj¡Ùk¼ÆËãdαkj£¬²¢·ÅÔÚαkj´¦¡£¿ÉÖ¤£¬×îºóÔÚ¾ØÕóAÔÀ´µÄλÖÃÉϾ͵õ½AµÄÄæÕóA-1¡£ÎªÁËÌá¸ß¾«¶È£¬Ò²¿É²ÉȡѡÖ÷ÔªµÄ·½·¨¡£
ºÍ½âÏßÐÔ´úÊý·½³Ì×éµÄÈý½Ç·Ö½â·¨Ò»Ñù£¬Ò²¿É½«A·Ö½âΪÏÂÈý½ÇÕóLºÍÉÏÈý½ÇÕóUÖ®»ý£¬¼´A=LU£¬´Ó¶øA-1=U -1L-1£¬¶øÈý½ÇÐξØÕóµÄÄæ¾ØÕóÊÇÒ×ÓÚÇó³öµÄ¡£
´ËÍ⻹Óзֿ鷨¡¢¼Ó±ß·¨¡¢µü´ú·¨µÈһЩÇóÄæ¾ØÕóµÄ·½·¨¡£