岩石磁性

岩石是由矿物组成的,岩石磁性主要是由岩石所含铁磁性矿物产生的。岩石磁性是用磁化强度来描述的,它就是单位体积内的磁矩。磁化强度是个矢量,单位为电磁单位(emu),即高斯。

岩石的磁化强度

岩石的磁化强度J由感应磁化强度Ji和剩余磁化强度Jr构成:J=Ji+Jr。当岩石在磁场J中被磁化时,岩石所获得的感应磁化强度Ji为:

Ji=xH

式中x是无量纲的比例常数,称为磁化率,它的大小表示岩石被磁化的难易程度。它不仅决定于岩石所含矿物的成分、数量及其分布状况,而且还与岩石所处的物理状态(特别是温度和磁化历史)和化学过程有关。当把磁场去掉以后,岩石仍会保留一部分磁化强度,叫做剩余磁化强度。它不仅同岩石性质以及磁场有关,而且还同岩石所处的物理状态以及化学过程有关。因此岩石磁性的研究即可以揭示岩石的某些性质,也可以揭示岩石的磁化历史。

已经具有剩磁的岩石还可能再次被磁化而获得新的剩磁,因此岩石往往含有一个以上的剩磁成分。这些成分一般是在不同时期通过不同方式获得的。岩石的年代愈老,剩磁成分愈复杂。对岩石进行逐步退磁处理,可以把各个剩磁成分分离出来,从而可以追溯岩石磁化的历史。

矿物磁性的分类

图1

矿物的磁性可根据它们的磁化特征分为顺磁性、抗磁性和铁磁性(包括铁淦氧磁性)。其中,磁化方向与磁化磁场方向一致,当磁场去掉以后磁化即消失,磁化率为一个确定的正值(一般为 10-6数量级),称为顺磁性。顺磁性矿物如常见的造岩矿物辉石、生云母和角闪石等。磁化方向与磁化磁场方向相反,当磁场去掉以后磁化也立即消失,磁化率为一个确定的负值(一般为10-6数量级),称为抗磁性。具有抗磁性的矿物如石英、长石等。一些具有特殊内部结构的矿物,虽沿磁场方向磁化,但当磁场去掉以后却留下一定的剩余磁化强度,并且磁化率很高,且和磁化磁场的强度有关,称为铁磁性。在这些矿物中,原子具有非常强的固有磁矩,相互作用也很强,致使矿物内部的晶格排列具有一定的次序。这种有次序的排列形成很多具有一定磁化的小区域,称为磁畴。磁畴的线性大小一般在 10-4厘米数量级。在单个磁畴中,若原子的磁矩大小相等而且互相平行,则称为铁磁性;若原子的磁矩大小相等而且互相反平行,则称为反铁磁性;若原子的磁矩大小不等而且互相反平行,则称为亚铁磁性或铁淦氧磁性;若原子的磁矩大小相等而且不完全反平行,则称为不完全的反铁磁性、或斜反铁磁性、或寄生反铁磁性(图1)。岩石中的铁磁性矿物大多为铁的氧化物或硫化物,可分为两类:一类是强磁性的立方晶型氧化矿物,如磁铁矿、磁赤铁矿和钛磁铁矿,属于铁淦氧磁性;另一类是弱磁性的菱形六面体矿物,如赤铁矿、钛铁矿和磁黄铁矿等,属于反铁磁性或不完全反铁磁性。

岩石剩磁的分类

根据岩石在自然界中获得剩磁的方式主要分为:

热剩磁(TRM) 图2

铁磁性物质具有一种特性,即随着温度的升高,固有的晶格的有序排列由于热搅动效应的加强就会逐渐被破坏,物质就表现为顺磁性质,这个温度称为铁磁性物质的居里温度或居里点。不同物质的居里点不同,如磁铁矿约为575℃,赤铁矿在675℃以上。在高于居里点的状态下,对铁磁性物质进行磁化,并且逐步降温,当温度低于居里温度时去掉磁化磁场,铁磁性物质将获得永久性的剩磁,称为热剩磁,简称TRM。如果在磁化磁场中继续冷却,铁磁性物质在每一个小的温度区间内均可获得一定的热剩磁,称为局部热剩磁简称PTRM。如果继续冷却到常温,铁磁性物质所获得的总热剩磁就是各个温度区间内的局部热剩磁的总和(图2)。热剩磁的强度较大且较稳定,在温度变化情况下,如果对铁磁性物质也引用磁化率这个概念的话,那么磁化率是随温度而变化的,不是一个常数。当温度接近居里点时,磁化率急剧下降到零。如果岩石含有多种铁磁性矿物,那么岩石就有多个居里点。

等温剩磁(IRM)

在远低于居里点的恒定温度下,岩石受到较强外磁场的磁化而获得的剩磁。等温剩磁与热剩磁相比,强度较强,稳定性较差。

化学剩磁 (CRM)

在常温下,在较弱的外磁场中,岩石中的磁性矿物由于氧化等化学反应、相变或结晶增长等过程而获得的剩磁。其强度和稳定性都可同热剩磁相比。

粘滞剩磁 (VRM)

在常温下,在弱的外磁场中,在几百万年的时间内,由于岩石中磁性矿物的磁畴受到规则的热搅动而产生的剩磁。粘滞剩磁与等温剩磁相比,较强也较稳定。

碎屑剩磁 (DRM)

也称沉积剩磁。是已经磁化的岩石碎屑在水中或空气中沉积时,受到外磁场的定向排列作用而产生的剩磁。这种剩磁也是相当稳定的。

无滞剩磁 (ARM)

岩石同时受到交变磁场和恒定磁场的作用,当交变场逐渐减小到零时所获得的剩磁。

压剩磁 (PRM)

岩石在受到外磁场作用的同时又受到机械应力的作用而获得的剩磁。

岩石磁性的各向异性和粘滞性

磁性矿物的颗粒如果小到几微米而只含一个磁畴,叫单畴颗粒;如果颗粒较大,并含多个磁畴,叫多畴颗粒;如果多畴颗粒较小而其性质又很类似单畴颗粒,叫伪单畴颗粒。在岩石中剩磁的载体主要是单畴颗粒和伪单畴颗粒。

各向异性

设单畴颗粒为轴对称的,则其固有磁矩只能和轴向平行或反平行,这就是单畴颗粒的磁性各向异性。无外磁场时,岩石中的单畴颗粒是杂乱取向的,岩石不呈现磁性。在外磁场作用下,单畴颗粒相对于磁场方向有一定的取向。相对于磁场取向不同的颗粒,其磁滞回线的形状不同。

单畴颗粒的内磁能E为:

其中V是颗粒的体积,θ是单畴磁矩与对称轴之间的夹角,K是各向异性常数。K由3个因素决定,即磁结晶各向异性,形状各向异性和机械应力各向异性。上式表明,只有当θ为0°或180°时,磁能最小,状态最稳定。这种颗粒的矫顽力Hc与各向异性常数K的关系为:

其中JS是饱和磁化强度。赤铁矿的磁性较弱,饱和磁化强度只有2.2emu;磁铁矿的磁性很强,饱和磁化强度可达480emu。它们的矫顽力也相差很大,原因是它们具有不同形式的各向异性。赤铁矿主要是磁结晶各向异性和应力各向异性,矫顽力至少在1000奥斯特以上;对磁铁矿而言,与磁结晶各向异性相联系的矫顽力不超过 450奥斯特,与应力各向异性相联系的矫顽力一般不会超过1000奥斯特,而与形状各向异性相联系的矫顽力却大得多,特别对于细长的针状颗粒,矫顽力可高达3000奥斯特。

粘滞性

在没有外磁场作用时,单畴颗粒的固有磁矩可取两个能量最小而方向相反的方向。要使它从一个方向改变到另一个方向,就必须补充能量,使其跃过一个势垒

Er=KV (θ=90°),

热搅动就可以引起这种改变。热搅动的能量

Et=kT

其中k玻耳兹曼常数,T是绝对温度。只要Et>Er,这种改变就会发生。所以,在一定的温度下,总有一些体积较小的颗粒能够满足kT>KV的条件,而改变其磁矩的方向。随着温度逐步升高,这种现象也就逐步加剧,结果将使磁化矿物的磁矩逐渐减小以至最后消失。这种现象称为磁粘滞衰减。磁矩随时间的衰减可以表示为:

其中M0为初始磁矩,Mr为经过时间t以后的磁矩,嗘是驰豫时间。

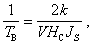
τ表示矿物颗粒保持其磁矩的能力。这是岩石磁学中一个很重要的公式。由此可见,随着温度T升高,τ就迅速减小。每个颗粒都有一个临界温度。当温度超过临界温度时,驰豫时间就变得很小。显然,临界温度越高的颗粒阻挡其磁矩衰减的能力越强,因此临界温度常称为阻挡温度TB,它与矿物颗粒的有关物理量可用下式表示:

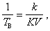
另一方面,在同一温度下,随着颗粒体积变小,驰豫时间也迅速减小。同理,也存在着一个临界体积,常称为阻挡体积VB

当忽略各向异性常数K随温度的变化时,由上述公式可以得到另一个极为有用的公式:

对同一颗粒而言,若已知温度T1所对应的驰豫时间τ1,则可求出任意温度T2所对应的驰豫时间τ2。例如,若知颗粒的磁矩在150℃可以保存106年,则在450℃只能保存1000秒了。这就是为什么在自然界中保存了上亿年的岩石剩磁,在实验室中经过几十分钟的加热处理就可以去掉的原因。

参考书目
  1. M.W.McElhinny,Paleomagnetism and PlateTectonics,Cambridge Univ.Press,London,1973.
  2. T.Nagata,Rock Magnetism,2nd ed.,Maruzen, Tokyo,1961.