[拼音]:zhengchu
[外文]:divisibility
数论中一个最基本的概念。任给二整数α与b,其中b≠0,如果有一个整数с使 α=bс,就称b能整除α,记作b│α。此时把b叫作α的因数,α叫作b的倍数。如果b不能整除α,就记作b
α。通常,因数总假定是正的。从整除的定义出发,以下一些性质是明显的:
(1)若b│α,с│b,则с│α;
(2)若b│α,则сb│сα,反之亦然;
(3)若с│α,с│b,则对任意的整m,n,有с│mα+nb;
(4)若b|α,则
。一般地,有所谓的带余除法,即设α、b是二整数,其中b>0,则存在两个惟一的整数q和r,使得α=bq+r,0≤r<b,r叫作α被b除所得到的余数,记为<α>b=r显然,b)整除α当且仅当r=0。
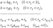
设α1,α2,…,αn(n≥2)是n个整数,若整数d>0是它们之中每一个的因数,那么d就叫作α1,α2,…,αn的一个公因数,诸公因数中最大的一个叫作最大公因数,记作 (α1,α2,…,αn)。如果(α1,α2)=1,那么α1和α2叫做互素或互质。设α、b是任意两个正整数,由带余除法可得下列诸式:
因为b>r1>r2>…,故经有限步之后,rn+1=0,且(α,b)=rn。这就叫做辗转相除法,又称欧几α2,…,αn的一个公倍数,所以最小公倍数总是存在的。设α、b是任意二正整数,则:
(1)α、b的所有公倍数就是[α,b)]的所有倍数;
(2)[α,b](α,b)=αb。
素数和算术基本定理正整数可以分成三类;①1,只有正整数1是它的因数;
(2)素数p,p>1,只有正整数1和p是它的因数;
(3)复合数m,有大于1同时小于m的因数。欧几里得证明了素数的个数是无限的。因为,如果素数有限,设为p1,p2,…,pk而整数p1,p2,…pk+1中必有不同于 p1,p2,…,pk的素因数。他还证明了若素数p│αb,则p│α或p│b。由此可得算术基本定理:任一大于1的整数数n,如果不计顺序,那么只有惟一的方法表示成素数的乘积里得算法,它是古希腊数学家欧几里得于公元前 4世纪给出的。他还证明了存在二整数l和m使得(α,b))=lα+mb)。显然,α、b)的任何公因数是(α,b)的因数。
最小公倍数设α1,α2,…,αn(n≥2)是 n个正整数,如果m是这n个数中每一个数的倍数,那么m 就叫做这n个数的一个公倍数,一切公倍数中最小的正整数叫做最小公倍数,记为[α1,α2,…,αn]。因为乘积α1α2…αn就是α1,。由这个定理可知,任一大于1的整数n可惟一地分解成标准形式
,其中p1<p2<…<pk是素数。作为算术基本定理一个简单而直接的应用,设
,则
,其中
。多于两个正整数的最大公因数和最小公倍数可以仿此求出。算术基本定理又叫整数的惟一分解定理,是数论中一个基本的定理,许多结果依赖于它的成立。代数数论研究的主要问题之一,就是研究在给定的代数数域中代数整数的惟一分解定理是否成立。
如何把一个给定的大的正整数分解为它的标准形式,一直是人们所关心和研究的问题,它不仅具有理论意义,而且有实际应用。虽然已经得到一些较有效的算法来判断一个大数是否素数,但是分解一个大数,仍然十分困难,即使借助于电子计算机也要花费惊人的时间。利用大数分解的困难性,1977年,R.L.里弗斯特等人设计出一种能够公开密钥的密码。
埃拉托斯特尼筛法大约在公元前250年,古希腊数学家埃拉托斯特尼提出一个造出不超过N 的素数表的方法,它基于这样一个简单的性质:如果n≤N,而n是复合数,则n必为一不大于
的素数所整除。具体作法如下:先列出不超过
的全体整数,设为
,然后依次排列2,3,…,N,在其中留下p1=2,而把p1的倍数全划掉,再留下p2,而把p2的倍数全划掉,继续如此往下做,直到最后留下pr而划去pr的倍数。所留下的整数就是不超过N 的全体素数。这就是著名的埃拉托斯特尼筛法。近代素数表都是由此法略加变化造出。1914年,D.H.莱默尔发表了1到10006721的素数表。1951年,J.P.库利克等又增加了从10006721到10999997间的素数。最大的素数表是D.B.扎盖尔1977年发表的,列出了不超过5×107的素数。埃拉托斯特尼筛法的改进和发展,是近代解析数论的重要工具之一。