[拼音]:jida hanshu
[外文]:maximum function
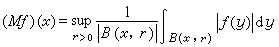
又称哈代-李特尔伍德极大函数,由已知函数经一定运算(取平均)后取极大值所定义的函数,是由英国数学家G.H.哈代、J.E.李特尔伍德于20世纪30年代研究傅里叶级数时引进的。极大函数算子M是指将函数ƒ 映为它的极大函数Mƒ的算子。设ƒ(x)是Rn中的局部可积函数,那么称下面的(Mƒ)(x)为ƒ的极大函数:
,
式中B(x,r)是以x为心、r为半径的球,|B(x,r)|是球的体积,
表示对r取上确界。可证明,极大函数(Mƒ)(x)是几乎处处取有限值的,只要
;而且
,式中A是常数,仅与p,n有关。
从极大函数的定义可知,(Mƒ)(x)≥|ƒ(x)|几乎处处成立。另一方面,只要
,那么仍有
这说明, 极大函数(Mƒ)(x)虽比|ƒ|本身要大,但又“不太大”。正是这个重要性质,使得极大函数(Mƒ)(x)能有效地控制那些在lp上有界的算子,最后可以通过函数本身的大小达到估计算子的目的。
极大函数的研究对分析数学的发展起了很大作用,近年来又有许多推广,并应用到数学的其他分支中去。