戴煦

中国清代数学家。字鄂士,号鹤墅,又号仲乙。钱塘(今杭州市)人。生于嘉庆十年,卒于咸丰十年。少年时代与同里谢家禾一起研洽数学,对天文学和机械学也有浓厚的兴趣。勤于思索,一有所得即使是在夜间也要秉灯以记。一生致力于数学,淡于功名进取。与当时的数学家如罗士琳、徐有壬及李善兰等人均有学术交往,尤与项名达为忘年好友。曾校刻谢家禾遗著《谢穀堂算学三种》,三卷,又校补项名达的遗著《象数一原》六卷并补《椭圆求周图解》一卷,共为七卷,使成完璧。

戴煦的著作是多方面的。曾著有《音分古义》二卷,《庄子内篇顺文》一卷,《陶渊明集集注》十卷,《元空秘旨》一卷,《重差图说》若干卷,《勾股和较集成》一卷,《四元玉鑑细草》若干卷,《广割圆捷法》一卷以及音律方面的著作,但均未刊行。戴煦的代表作是《求表捷术》九卷,有粤雅堂丛书本等版本。其中包括论对数表造法的《对数简法》二卷(1845)和《续对数简法》一卷(1846),论三角函数表造法的《外切密率》四卷(1852)及论三角函数对数表造法的《假数测圆》二卷(1852)。戴煦所给的三种表的造法,在中国数学史上均有超越前人的成就,其中尤以对数和三角函数的对数研究最突出。

戴煦与项名达共同研究,给出形如

(1)的展开式,而后戴煦又给出

(2)的展开式。式中|x|<1,n为正整数。值得特别注意的是,他在《续对数简法》的“论率”一节里讨论了(1)、(2)中的n有“奇零小余”的情况。按照他的叙述,设有一数α及本数A满足,(或),或者(或时),则称n+h1n+h2n“下带奇零小余”。“奇零小余”可以是有限小数,也可以是无限小数。尽管中国古代数学没有提出"有理数",“无理数”的概念,但“奇零小余”中却包含着这两种情形。显然,若h1h2为循环小数(有限小数视循环节为0),则有α=Ap为正整数)。若h1h2为不循环小数,则α=Arr为无理数)。按照(1)可得

         (3)

,           (4)

由(1),(2),(3)及(4)可知戴煦已推论出

  (5)

式中|x|<1,α为任意实数。

戴煦在《数理精蕴》的递次开方求对数法的基础上推论出

       (6)

式中为“对数根”或模。由(5)、(6)得到下列展开式

   (7)

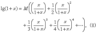
在(8)中令,得到=0.43429448。由此,可用对数展开式造表。他又由(7)及三角函数展开式得到

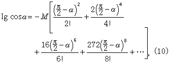
(9)

式中0<α<π/4。并指出由(8)还可得lgsecα lgcosα的展开式各一。由此得到用展开式造三角函数对数表的方法。

此外,戴煦还引进一个“假设对数”的概念,即假设一种对数,它的“根”(模)是M=1或即 logβ(1+x)=x,由此逆求logβ10的值。因常用对数是令lg10=1,而求得lg(1+x)的,他由此建立了两种对数的比例关系

戴煦所假定的这种对数就是自然对数,因而上式即

      (11)

于是,他为对数表的造法又辟一途径。

戴煦的(5)~(11)式,在中国数学史上均属首创,代表了其所在时代中国数学研究水平的一个方面。在他之前,对数表造法是以《数理精蕴》中的递次开方法为主,但该法开方运算量极大,如求lg2,中间步骤有47次的开平方,诚如戴煦所说:“经旬累月不能竟求一数”。当时已有西方的对数表、三角函数对数表传入,但如何检验其精确性却是一个长期未解决的问题。戴煦给出的各展开式,不仅将造表法推向一个新的水平而且检验问题也迎刃而解了。