[拼音]:feixianxing guangxue
[外文]:nonlinear optics
是现代光学的重要分支,研究物质与强相干光相互作用时出现的一系列新的光学现象及其应用。在一般情况下,当光波的电场可以和原子、分子或凝聚态物质中束缚电子的库仑场相比较时,可以观察到这些现象。
基本概念
介质在光波场(红外、可见、紫外以及X射线)的作孟禄岵杏Φ缂5惫馇拷先跏保眯вκ窍咝缘模醇慷扔牍獠ǖ绯〉囊淮畏匠烧取5牵惫馇恐鸾ピ龃螅慷戎谢够嵯嗉坛鱿钟氲绯〉亩巍⑷我灾粮叽畏匠杀壤南睢S胝庑┫钕喽杂Φ募吵莆窍咝约R嗉矗诠馇拷锨渴保缂慷P与电场E的关系表示为
P=ⅹ(1)E+ⅹ(2)E2+ⅹ(3)E3+…,
式中ⅹ(1)、ⅹ(2)、ⅹ(3)、…等分别称为 一、二、三、……阶极化率。更一般说来,在强光作用下,极化强度是光强的非线性函数。这称为极化的非线性性质。
通常的一些光学效应,如反射、折射、双折射等,都只与介质的线性极化相联系,故都属于线性光学的范畴。但是,与介质的非线性极化或极化的非线性性质相联系,还会产生一系列新的光学现象,这些现象则属于非线性光学讨论的范围。
发展简史
非线性光学的早期工作可以追溯到1906年泡克耳斯效应的发现和1929年克尔效应的发现。但是非线性光学发展成为今天这样一门重要学科,应该说是从激光出现后才开始的。激光的出现为人们提供了强度高和相干性好的光束。而这样的光束正是发现各种非线性光学效应所必需的(一般来说,功率密度要大于102~105W/cm2,但对不同介质和不同效应有着巨大差异)。自从1961年P.A.弗兰肯等人首次发现光学二次谐波以来,非线性光学的发展大致经历了三个不同的时期。第一个时期是1961~1965年。这个时期的特点是新的非线性光学效应大量而迅速地出现。诸如光学谐波、光学和频与差频、光学参量放大与振荡、多光子吸收、光束自聚焦以及受激光散射等等都是这个时期发现的。第二个时期是1965~1969年。这个时期一方面还在继续发现一些新的非线性光学效应,例如非线性光谱方面的效应、各种瞬态相干效应、光致击穿等等;另一方面则主要致力于对已发现的效应进行更深入的了解,以及发展各种非线性光学器件。第三个时期是70年代至今。这个时期是非线性光学日趋成熟的时期。其特点是:由以固体非线性效应为主的研究扩展到包括气体、原子蒸气、液体、固体以至液晶的非线性效应的研究;由二阶非线性效应为主的研究发展到三阶、五阶以至更高阶效应的研究;由一般非线性效应发展到共振非线性效应的研究;就时间范畴而言,则由纳秒进入皮秒领域。这些特点都是和激光调谐技术以及超短脉冲激光技术的发展密切相关的。
学科内容
非线性光学主要研究下列物理效应及其应用。
二阶非线性光学效应这些效应来源于非线性极化中与光波电场的二次方成比例的项
P(2)=ⅹ(2)E2。
它们通常只会出现在各向异性且不具有中心对称性的介质中。包括:
(1)光学倍频。或称二次谐波。频率为 ω电场强度为
(с.с.表示前一项的复数共轭量,下同)的光波作用于介质,在极化强度P(2)中出现频率为2ω的成分:
。由此便会辐射产生倍频光波。
(2)光整流。在上述条件下,极化强度P(2)中还会出现只与入射光强有关而与入射光频率无关的成分
。这相当于整流效应。
(3)泡克耳斯效应。频率为 ω1的光波E1与恒电场Ei同时作用于介质,由于二阶非线性极化P(2)中出现一项(2ⅹ(2)Ei)E1,因此它与线性极化项 x(1)E1合并得到介质极化强度中与光波电场成比例的项为(2ⅹ(2)Ei+ⅹ(1)E1。从而介质的折射率由
改变为
亦即增加了一个与恒电场成比例的附加折射率
(4)二阶光学混频(和频与差频)。两束频率分别为ω1和ω2的光波
和
同时作用于介质, 在极化强度P(2)中出现和频ω1+ω2 及差频ω1-ω2成分
及
由此便会辐射产生频率为ω1+ω2及ω1-ω2的和频及差频光波。
(5)参量放大与振荡效应。如果作用于介质有三个频率的光波,即频率为ωp的较强的泵浦光及频率分别为ωs和ωi的较弱的信号光和闲置光,且ωp=ωs+ωi,则由于泵浦光与信号光差频使闲置光增强,泵浦光与闲置光差频又使信号光增强,结果泵浦光不断转变为信号光与闲置光。
三阶非线性光学效应这些效应来源于非线性极化中与光波电场三次方成比例的项
P(3)=ⅹ(3)E3。
例如:
(1)光学三次谐波。频率为ω的光波
作用于介质时,P(3)中出现频率为3ω的成分
由此便会辐射产生三次谐波。
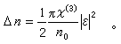
(2)光学克尔效应及光束自聚焦。在上述条件下,P(3)中还会出现一项
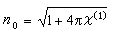
。此项与线性极化项ⅹ(1)E一样也是与光波电场E的一次方成正比。因此它的出现意味着介质的折射率会发生变化,增加了一个与光强成正比的附加折射率
与此相联系,当光束横截面上光强分布不均匀时,折射率在其上的分布也不均匀,从而产生光束自聚焦或自散焦。
(3)克尔效应。频率为ω1的光波E1与恒电场Ei同时作用于介质,在 P(3)中会出现与E1的一次方成比例的项(3ⅹ(3)E崿)E1。因此也产生附加折射率
但不同于泡克耳斯效应, 现在Δn是与恒电场的二次方成正比。
(4)三阶混频效应。三个频率为 ω1、ω2、ω3的光波同时作用于介质,在P(3)中会出现频率为ω1+ω2+ω3、ω1+ω2-ω3、2ω1+ω2、2ω1-ω2、…等成分的项
从而会辐射产生相应频率的光波。
(5)简并四波混频与位相复共轭效应。作为上述混频效应的特例,三束方向不同但频率相同的光波在介质中混频的结果,可以产生第四束频率相同的光波。通常为了满足位相匹配条件,三束光中的两束方向相反,第三束与之成一小角度。混频产生的第四束光是沿第三束光的反方向输出的。这种称之为简并四波混频效应的特点是,输出的第四束光是第三束光的位相共轭波(相位复共轭)。
(6)四波参量放大与振荡。设有四个频率分别为ω1、ω2、ω3、ω4的光波在介质中相互作用,其中频率为ω1和ω2的两光波较强,频率为ω3和ω4的光波较弱,且满足ω1+ω2=ω3+ω4。由于频率为ω1和ω2两光波和频再与频率为ω3的光波差频产生频率为ω4的光波,故使频率为 ω4的光波增强;同时,ω1与ω2和频再与ω4差频产生频率为ω3的光波又使频率为ω3的光波增强。结果,频率为ω3和ω2两光波的能量不断转变为频率为ω3和ω4两光波的能量。
(7)双光子吸收。当频率为 ωp和ωs两光波同时作用于介质中,P(3)中就应出现
及
这样两个频率为 ωs及 ωp的成分。可以证明,如果介质中存在一对属于禁戒跃迁的本征频率为ωs的能级,则当ωp+ωs=ωs时,极化强度中上述两成分与频率为ωs及ωp的光波作用的结果,是使两个光波同时被吸收。
(8)受激喇曼散射及受激布里渊散射。类似于双光子吸收,当ωp-ωs=ωs时,可以证明,由于P(3)中频率为 ωp的成分与ωp的光波相互作用,结果使频率为ωp的光波不断将其能量转化成频率为ωs光波的能量。与此同时,介质中的原子或分子由下能级跃迁到上能级。此即受激喇曼散射。受激布里渊散射形式上类似于受激喇曼散射,但ωp-ωs通常落在声频范围。同时,这种散射是入射光波与由它在介质中激励起的超声波场相互作用的结果。
瞬态相干光学效应是非线性光学中另一重要分支。它研究物质在共振条件下受到强相干光场作用时,在小于物质内部纵向及横向弛豫时间的时域范围内所发生的光学现象。诸如光子回波、光学自由感应衰减、光学章动、自感应透明等等。
事实上,不难发现在无线电和微波波段都可找到与上述多种非线性光学效应相类似的效应。这正是相干光在某些方面酷似无线电波的结果。但是,由于光波波长比介质的尺寸小得多,因此非线性光学效应又应不同于无线电或微波波段的非线性效应,必须考虑光波在介质中的传播。由此要使前述的相当一部分非线性光学效应(通常这部分效应与参量作用过程相联系)真能出现还必须满足一些附加条件,例如位相匹配条件。
应用从技术领域到研究领域,非线性光学的应用都是十分广泛的。例如:
(1)利用各种非线性晶体做成电光开关和实现激光的调制。
(2)利用二次及三次谐波的产生、二阶及三阶光学和频与差频实现激光频率的转换,获得短至紫外、真空紫外,长至远红外的各种激光;同时,可通过实现红外频率的上转换来克服目前在红外接收方面的困难。
(3)利用光学参量振荡实现激光频率的调谐。目前,与倍频、混频技术相结合已可实现从中红外一直到真空紫外宽广范围内调谐。
(4)利用一些非线性光学效应中输出光束所具有的位相共轭特征,进行光学信息处理、改善成像质量和光束质量。
(5)利用折射率随光强变化的性质做成非线性标准具和各种双稳器件。
(6)利用各种非线性光学效应,特别是共振非线性光学效应及各种瞬态相干光学效应,研究物质的高激发态及高分辨率光谱以及物质内部能量和激发的转移过程及其他弛豫过程等。
- 参考书目
- P. A. Franken, A. E. Hill, C. W. Peters and G.Weinreich, Generation of Optical Harmonics,Physical Review Letters,Vol.7, p.118,1961.
- N. Bloembergen, Nonlineαr Optics,Benjamin, New York, 1965.
- P. N. Butcher,Nonlineαr Optical Phenomena,Ohio State-University, Columbus, Ohio,1965.
- Y.R.Shen, Recent Advances in Nonlinear Optics,Rev. Mod. Phys., Vol. 48,p.1,1976.
- L. Allen and J. H. Eberly, Optical Resonance and Two-Level Atoms, John Wiley & Sons, New York, 1975.
- D.C.Hanna,M.A.Yuratich and D. Cotter,Nonlinear Optics of Free Atoms and Molecules, Springer-Verlag. Berlin, 1979.