[拼音]:shuzhi weifen
[外文]:numerical differentiation
根据函数在一些离散点的函数值,推算它在某点的导数或某高阶导数的近似值。通常用差商代替微商,或用一能近似代替该函数的较简单的函数(如多项式、样条函数)的相应导数作为所求导数的近似值。例如,对带余项的插值公式ƒ(x)=I(x)+R(x)取k阶导数就得到带余项的数值微分公式
,这里插值函数I(x)的k阶导数I(k)(x)即为所求k阶导数 ƒ(k)(x)的近似值,而插值函数余项R(x)的k阶导数R(k)(x)则给出此近似值的截断误差。
通常利用多项式插值进行数值微分。设函数ƒ(x)在n+1个等距点xv=α+vh(v=0,1,…,n)上的值ƒv=ƒ(xv)为已知,则通过低次插值可导出一些最基本和常用的数值微分公式,例如,两点公式

三点公式
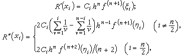
等等。此外,利用具有n+1个等距节点的拉格朗日插值公式,还可导出在节点xj(i=0,1,…,n)上的较为一般的数值微分公式
这里Ai,v、Bi,v仅与 n、i、v有关,而相应的截断误差可分别表成
式中
因此,当节点的个数n+1固定时,间距h愈小,则截断误差也愈小。但是这时系数绝对值之和
随h的变小而剧增,所以函数值ƒv的舍入误差对近似导数的影响也随h的变小而剧增。因此,h并非愈小愈好,而是要适中,这是数值微分不同于某些插值之处。如果函数ƒ(x)有很好的可微性,即存在绝对值不太大的较高阶导数,则宁取间距稍大而个数稍多的节点。当ƒ(x)在节点分布的整个区间上的可微性不太好时,利用样条插值进行数值微分比利用多项式插值更适宜,只是计算量要大得多。
如果数据ƒv带有不容忽视的随机误差,而其对应的自变量分布甚密,就应该用曲线拟合代替上述函数插值,然后用拟合曲线的导数作为函数ƒ(x)的导数的近似值。这样求得的导数叫做磨光的导数。