[拼音]:erci quxianshu
[外文]:pencil of conics
在射影平面内,两条二次曲线一般有四个公共点(包括实、虚或重合),通过四个公共点的二次曲线的全体叫做二次曲线束。其中四个公共点叫做基点。若已知两条二次曲线S及
的方程分别是
及
,则过它们公共点的二次曲线束的方程可写作
,
式中(xi)是点的齐次射影坐标,λ是参数,每个数值λ,都对应着束中的一条曲线。 显然若S,
交于不同的四点,则束内一切曲线都过此四点;若S,
切于一点,则束内一切曲线都在这点相切,因此束内一切曲线的相交、相切情况,都和S,
的相交、相切的关系一样。根据四个基点的不同情况:四个相异点、单一切点、双重切点、三点重合、四点重合,相应地就有五种类型的二次曲线束(见
a~e)。在二次曲线束的方程中,令它的系数行列式Δ(λ)=0,即得到一个关于λ的三次方程,由它的三个根(三个实根或一个实根二个虚根)可确定束中三条变态的二次曲线。假如四个基点是不同的实点,且其中没有三点共线,则此四点形成一个完全四点形(见图之a),它的三组对边,就是束中的三条变态曲线。如已知其中两条变态二次曲线的方程是U1U2=0和U3U4=0其中
,则二次曲线束的方程为
。
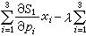
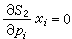
设有一定点P(p1,p2,p3),则P关于二次曲线束S1- λS2=0的极线方程是
,即
。又若已知一直线l,在l上取二定点P(p1,p2,p3)和Q(q1,q2,q3),则l关于二次曲线束的极点,应是P与Q二点的极线的交点。故有:
(1)一个定点关于二次曲线束所有曲线的极线,形成一个直线束;
(2)一条定直线关于二次曲线束所有曲线的极点,为一条二次曲线;可在定直线上取两点P及Q,且令
,
(α=1,2),则P、Q两点关于二次曲线束的极线分别为A1-λA2=0,B1-λB2=0,消去参数λ,即为二次曲线。