[拼音]:jifen jihexue
[外文]:integral geometry
通过各种积分考察图形性质的一门学科,本质上属于整体微分几何范畴。它起源于几何概率的研究,其发展也始终和几何概率联系着。积分几何的研究从欧氏平面和三维欧氏空间开始,逐步拓广到高维欧氏和非欧空间,然后概括到满足一定条件的齐性空间。
常曲率空间的积分几何
主要有以下几种:
欧氏平面的积分几何
每个积分都和一定的密度和测度相联系。例如,在欧氏平面E2上,若(x,y)为一点P的直角坐标,则区域D上的二重积分
里的二次微分式dxdy 就是点密度,而当ƒ(x,y)=1时,这积分就等于D 的面积,也就是D 作为点的集合的测度。若把点密度用外微分式dP=dx∧dy表示,则上述积分就可以写成与坐标系无关的形式
。点密度在极坐标(r,θ)下的表达式dP=rdr∧dθ。容易证明,这个点密度经过刚体运动不变,而且除一个常数因子外,它是E2上惟一的不变点密度。
在E2上,一个典型的,和点密度相联系的克罗夫顿积分公式是
式中K 表示一个凸集,P点不在K 内,t1,t2是从P 到K两条切线的长,ω 是切线间的夹角(图1)。
欧氏平面上也有不变直线密度。设p是从坐标原点O到直线G 的垂直距离(p≥0),φ是由O到G 的垂线同坐标横轴所作的有向角(0≤φ<2π)(图2),则直线密度dG=dp∧dφ。与直线密度相联系的一个著名的克罗夫顿公式是
在这式里,C 表示E2上一条曲线,l是它的长,n是G同C的交点数。特殊地,若C是闭凸线,而U是它的周长,则n=2,l=U,于是上述公式化为
即同闭凸线C 相交的直线,其集合的测度等于C 的周长。由最后这个公式,容易获得一系列简单的结论,下面是两个例。
(1)若 C0,C1是闭凸线,C1完全位于C0的内部,U0、U1依次是它们的周长,则和C0相交的一条随机直线也和C1相交的概率是U1/U0;
(2)若C0,C1是闭凸线,C1完全位于C0的外部,则同它们都相交的直线的集合,其测度等于图3
中的粗线长减去虚线长。
把E2上的点密度和直线密度作种种不同的结合,就得到点偶(P1,P2),线偶(G1,G2),点线(P,G),以及三点组(P1,P2,P3)等等的几何对象的密度,并推得许多积分公式。例如,若σ 是闭凸线C 在直线上的弦长,则M.W.克罗夫顿给出了
式中F表示C 所包围的面积(图4)。
一种十分重要的不变密度叫做运动密度。在E2上,设图形K在平面上作刚体运动,P是随意选定的,同K相固连,并同K一起运动的点,φ是同K相固连的任意有向直线与固定的坐标横轴所作的有向角(0≤φ<2π)(图5),则三次微分式dK=dP∧dφ 就是K 的运动密度。由W.J.E.布拉施克给出的所谓运动主要公式是
式中D0,D1表示区域,D0固定而D1作运动,它们的边界都是有尽多条简单闭线所构成,F0,F1;U0,U1;C0,C1依次是它们的面积,边界周长和边界总曲率(即边界相对曲率在边界上的线积分),C01是交集D0∩D1的边界总曲率;dK1是D1的运动密度。这个公式包含许多特殊情形和极限情形。例如,当D0,D1缩成两条长度为l0,l1的曲线C0,C1时,若n是它们的交点数,则C01=2πn,C0=C1=2π,F0=F1=0,U0=2l0,U1=2l1,运动主要公式就简化为庞加莱公式
n维欧氏空间的积分几何
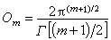
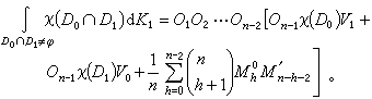
在n维欧氏空间En里,同样有点密度,直线密度,以至 r维线性子空间密度(r≤n-1),也有运动密度,它们在刚体运动下都不变。在En,特别是在普通的三维欧氏空间,已经有大量的成果,例如在En里,陈省身、严志达给出的运动主要公式是
式中D0,D1表示区域;V0,V1和
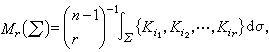
是积分不变量;ⅹ(D0),ⅹ(D1),ⅹ(D0∩D1)是拓扑不变量;Om是通用常数;dK1是K1的运动密度。具体地,Vi表示Di的n维体积,M
表示Di的边界(超曲面)的第 r个中曲率积分(i=0,1),ⅹ(D)表示区域D的欧拉-庞加莱示性数,
是 m维单位球的m-1维表面积。一个超曲面的所谓第r个曲率积分为
式中
表示∑的主曲率的第 r个初等对称函数,dσ表示∑的n-1维面积元素。
非欧空间的积分几何
把欧氏空间的积分几何的基本概念推广到非欧空间,就可以建立非欧积分几何,L.A桑塔洛推得了n维非欧空间运动主要公式。
齐性空间的积分几何
欧氏(和非欧)空间积分几何的基本概念还可以推广到满足一定条件的齐性空间。已给微分流形M,若有一个李变换群
可迁地作用于M上(即对于M上任意两点P,P′,总有
里的一个变换,把P 变成 P′),则M就成为具有变换群
的齐性空间,再设在M里有一个图形的集合S,在
的作用下不变(即在
的任意一个变换的作用下,S里的一切图形只是经历一个置换)。例如欧氏平面E2对于运动群就是齐性空间,S可以是E2上一切点或一切直线的集合,也可以是一个互相全等的椭圆的集合,等等。这样,在一种确定条件下,S里的图形F 就有在
下不变的密度dF, 而且除一个常数因子外,它是惟一的。这时,若S1是S的一个子集而ƒ(F)是S1上的函数,积分
就完全确定。
若Г是李变换群
的离散子群,则商群
/Г是齐性空间。C.L.齐格尔把这个事实应用于 n维仿射空间里的齐次幺模(或特殊)仿射变换群和格的集合,证明了“数的几何”中著名的闵科夫斯基-拉夫卡定理。
研究动向
关于齐性空间积分几何的一般原理已富有成效地用于埃尔米特几何学和辛几何学。但这些方面的工作仍有待于继续展开。
运用叶层空间的理论,可以对齐性黎曼空间中一些短程线集合和点集合引进具有某种不变性的密度,并得到一些积分公式和结果,其中有些是常曲率空间结果的推广。
近20年来,求一种拉东变换的逆变换的课题也纳入了积分几何范畴。设 X为微分流形,M(u)是X的一族子流形,它们依赖于参数u1,u2,…,un,dσ(u)是M(u)上适当选定的微分齐式。已给X上的函数ƒ(x)(x∈X),令
则ƒ(x)→弮(u)叫做拉东变换。所考虑的课题就是,倒过来,用函数弮(u)来表达ƒ(x)。当X是欧氏空间En而M(u)是超平面时,这个问题早已解决,其解答后来推广到一切非紧致对称空间。这些成果在微分方程理论和群表示论中有应用。
简史
几何概率的研究要以有关的图形集合的测度为基础,因而自然要导致积分几何的建立。一般认为,最早的几何概率问题是 G.-L.L.de布丰提出并解决的投针问题:设在平面上有一组平行线,其行距都等于D;把一根长度l<D的针随机地投上去,则这根针和一条直线相交的概率是2l/πD。到19世纪下半叶,克罗夫顿已获得了一系列的积分公式;它们至今仍然是积分几何中很基本的公式,其特点是概括性高而推导简洁。但就在此时,J.L.F.贝特朗却发现,对于同一个几何概率问题,对有关测度的不同要求会导致互相矛盾的解答。后来H.庞加莱指出,只须要求所采用的测度在一定变换群下不变,那样的矛盾就不会出现。从此,几何概率同变换群相结合,形成了积分几何的理论基础,成果日渐丰富。1935年起,布拉施克及其合作者在“积分几何”这个总标题下发表了一系列论文,积分几何就开始作为几何的一个分支获得了系统而深入的发展。其中,陈省身作出了卓越的贡献,齐性空间积分几何的理论就是他和A.韦伊建立起来的。在齐性空间里,他引进了一种较一般的关联概念,并在此基础上获得了克罗夫顿公式的一种推广,他还推得了En里紧致流形的一般运动公式,作为运动主要公式的补充。桑塔洛是布拉施克最早的合作者之一,他毕生致力于积分几何的研究,时间最长,成果广泛而丰富,所著《积分几何与几何概率》一书是迄今为止这方面最完备的专著。
中国较早从事积分几何研究的还有吴大任,他第一次把欧氏空间积分几何的基本成果(包括运动主要公式在内),推广到三维椭圆空间。他还证明了关于E2和E3里凸体弦幂积分的一系列不等式。中国学者还获得了其他若干成果,例如,任德麟推得了n维欧氏空间和非欧空间里含在一个凸体内的定长线段测度公式,把关于弦幂积分的不等式推广到En,并且推广了布丰投针问题。
由于积分几何是和概率以及统计紧密联系着的,它在许多学科(如生物学、医学、矿物学、金属学,以至物理、天文、建筑、声学等)中都有应用。随着电子计算机性能的迅速提高,使用的日益广泛,这种应用正方兴未艾。已经出现了“随机几何学”和“数理生态学”这样的学科名称。这方面,所采用的方法之一是所谓的立体度测法:简单地说,有些几何对象的立体性质只能通过对它们的直线截痕或平面截痕的大量观测来推算,积分几何就在这里提供了理想的工具。
- 参考书目
- W.Blaschke,Vorlesungen ╇ber Integralgeometrie,Aufl.3,Deutscher Verlag der Wissenschaften,Berlin, 1955.
- M.G.Kendall and P.A.P.Moran,Geometrical Probability,Griffin, London, 1963.
- L.A.Santal圝,Integral Geometry and Geometric Probability,Addison-Wesley, Reading, Mass.,1976.