[拼音]:repengzhang
[外文]:thermal expansion
压力保持不变时,由于温度的改变,造成固体、液体和气体发生长度或体积变化的现象。膨胀的程度用膨胀系数表示。
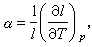
固体的热膨胀固体的线膨胀系数定义为
式中l是试件的长度,T是温度,p是压强。对于每种固体,都有一个德拜特征温度
,低于此特征温度时,α 随温度强烈变动;高于此特征温度时,α实际上是常数。处在室温的许多普通材料,其温度都接近或高于各自的特征温度,其长度随温度变化的规律,可用近似式l=lo(l+αt)表示,式中lo为零摄氏度(0°C)时的长度,t是摄氏温度。
从微观看,固体的热膨胀是固体中相邻原子间的平均距离增大。晶体中两相邻原子间的势能是原子核间距离的函数,势能曲线是一条非对称曲线(图1)。在一定的振动能量下,两原子的距离在平衡位置附近改变着,由于势能曲线的非对称性,其平均距离r大于平衡时的距离ro;在更高的振动能量时,它们的平均距离就更大。由于振动的能量随温度升高而增大,所以两原子间的平均距离也随温度升高而增大,结果使整块固体胀大。
E.格临爱森理论指出,膨胀系数同固体比热容成正比(见非谐相互作用),在低温下(小振幅振动)膨胀系数趋于零。
纯晶体沿不同的轴向可以有不同的α 值,多晶体几乎没有各向异性的效应。
固体的面膨胀系数定义为
式中A为试件的面积。
固体的体膨胀系数定义为
式中V为试件的体积。
对于各向同性固体,α、β、γ之间的关系为
β=2α, γ=3α。
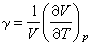
液体和气体的热膨胀由于液体和气体没有固定的形状,只有体积随温度的变化才有意义,所以常用体膨胀系数表示它们的膨胀程度。体膨胀系数为
。
气体的γ 可通过理想气体状态方程来计算,其值与温度和压强有关。
液体的γ 与压强近似无关,主要取决于温度。液体的γ 虽然可以在相当大的温度范围内取作常数(如膨胀式温度计),但也有反常情况。例如,温度从0°C到4°C时,水的体积缩小了;在4°C以上,它又随温度上升而膨胀。前者称为水的反常膨胀(图2)。