声辐射

声源在媒质中形成声场的过程。能在弹性媒质中激发声波的物体称为声源。

声源的类型

有的声源通过固体(如板、膜、弦、杆等)的振动辐射出声波。有的声源通过流体的运动辐射声波,如哨、笛、喷注和爆炸等。

声源将非声能量转化为声能。把电能转化为声能的声源称为电声换能器。常用的电声换能器有压电式、磁致伸缩式、电动式、电磁式和静电式等。把流体动能转化为声能的声源称为流体动力式换能器。常见的流体动力式换能器有旋笛、哨等。

自然界有不少声源,如雷暴、水流、风浪、生物发声等。为了不同目的,人们制造了多种声源,如各种乐器、扬声器、压电和磁致伸缩换能器等。

声源的特性

最主要的是频率特性、指向性和发射声功率等。人工声源往往是谐振式的,重要的频率特性有谐振频率fo、发射带宽Δf和品质因数Q,其中Δffo/Q。电声换能器的重要特性还有发送响应,即在指定方向上,离声中心1m远处的表观声压与输送给换能器的电压或电流之比。发射的声功率与消耗的电功率之比称为电声效率。

声波辐射

主要有两方面问题:

(1)声源辐射时声场的各种规律,如声压随距离和方向的变化;

(2)声源激发起来的声场反过来对声源的影响,也就是由于辐射声波而加在声源上的辐射阻抗。

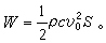
如果活塞式辐射器的振动体(活塞)尺寸比波长大得多,可以用无穷大平面的同相振动来考虑。这样的振动平面产生平面行波,其声压与质点速度是同相的。对任何形式的波都有 p/μZcρс的关系,其中p为声压,μ为质点速度,ρс为媒质的特性阻抗(ρ为媒质的密度,с为媒质中的声速),它反映媒质对辐射器的反作用。对于正弦波平面声源,平均单位面积辐射声功率为

其中povo为辐射面上的声压和振速的辐值。面积为S的活塞辐射的总功率为

在无穷大障板中振动的比波长小的活塞,单位面积辐射的声功率比大活塞的小得多。半径为 a的圆形活塞在ka1(k为圆波数)的条件下,辐射功率为

其中Sπa2为活塞面积。这时辐射阻抗 ZR已不是实数,而是复数。单位面积的辐射功率为

与上式相比较,小活塞单位面积辐射阻抗的实部

随频率降低而减小。阻抗的虚部使能量周期性地在活塞和附近的媒质间交换,对声辐射没有贡献,但表现为同振质量。

简单声源

实际存在的声源总可以归结为简单声源的组合。简单声源中最主要的是单极子声源、偶极子声源和四极子声源。更高阶的声源实际意义不大。

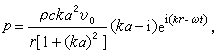
脉动球是单极子声源(图1)。脉动球在距离中心r处的声压是

其中w为脉动的圆频率,vo为球表面振速,a为球的半径。

图1 图2

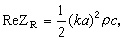
单位面积辐射阻抗为

阻抗虚部和实部随参量 ka的变化见图2。在ka1,即球半径远小于波长的条 件下,ReZRρсk2a2,因此在振速和球半径不变的条件下,单位面积辐射功率与频率二次方成正比。

对整个球,辐射阻抗虚部MR称为同振质量,相当于三倍球体积的媒质的质量。因此发射器在水中的固有频率比在空气中要低。

单极子声源是无方向性的,在简单声源中辐射效率最高。实际声源中,爆炸、气泡脉动和障板中的小活塞等都属于单极子声源。

振动球是偶极子声源(图3)。偶极子声源的辐射指向性是8字形。对于小球(ka1),偶极子辐射的声压为

其中vo为球振动速度的幅值。可以看出,辐射声压与球体积及振动速度成正比。

图3 图4

振动小球的辐射功率

即与频率四次方成正比,效率比单极子低。弦的振动就是偶极子型的,如果没有板或膜的帮助,弦的辐射功率是很小的。

四极子声源可以认为是由两个极性相反的偶极子声源组成。它的辐射效率比偶极子更低。湍流发声基本上是四极子声源形式。

指向特性

许多声源在辐射时向各方向辐射的声能不同,形成所谓指向性,典型的指向性如图4所示。指向性是由辐射器各部分的振动产生的波传到接收点时以不同相位叠加的结果。对活塞辐射,在远场(rL≈2d2/λλ为波长,d为辐射器直径),声压与角度的关系不随距离而变,形成指向性。在近场(r<L),声场干涉很厉害,不形成指向性。

参考书目
  1. P.M.莫尔斯著,南京大学《振动与声》翻译组译:《振动与声》,科学出版社,北京,1974。(P. M. Morse,Vibration and Sound, 2nd ed., McGraw-Hill, New York,1948.)