[拼音]:Debai changdu
[外文]:Debye length
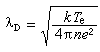
在等离子体中,由于异性相吸,一个带电粒子总是被一些带相反电荷的粒子所包围中和,因此,它的静电场基本上只能作用在某个距离内,这个距离称为德拜长度λD。距离超过λD时,其电场就被周围的导性粒子的电场屏蔽而迅速消失,所以,λD也称为德拜屏蔽距离。采用高斯单位制,
,
式中 k为玻耳兹曼常数,Te、n、e 分别是电子的温度、数密度和电荷。
等离子体中的两个带电粒子,只当距离小于 λD时,它们之间才会发生作用。也就是说,带电粒子间的碰撞距离的最大值是λD。λD也是判断等离子体是否为电中性的一个特征参量,如果λD远小于等离子体的尺度,则等离子体在宏观上就是电中性的。
德拜球内的粒子数是
,它的倒数
称为等离子体参量,是表示等离子体特性的一个重要的参量。由于德拜屏蔽是统计意义下的概念,显然只有在g
1(即
1)的情况下它才有意义。由 λD定义不难看出,g随热动平衡下等离子体静电势能与动能之比而定。g
1表示可以把等离子体看作近似理想气体。在这种等离子体中,粒子之间碰撞所起的作用居于次要地位,主要运动形式是波长大于 λD的等离子体中各类集体振荡。 所以g
1和g
1的等离子体具有完全不同的性质。自然界中等离子体几乎都是g
1的。当前等离子体物理学主要研究这种情况。