[拼音]:changqulü LiMan kongjian
[外文]:Riemannian space of constant curvature
截面曲率为常数的黎曼流形,它包括了欧氏空间、球面、双曲空间为其特例。在曲面论中,高斯曲率K为常数的曲面局部地为球面(K>0),平面(K=0)或双曲平面(K<0)。在高维时高斯曲率的自然推广为截面曲率(见黎曼几何学)。如果黎曼流形M上任何点处的任何二维切平面,其相应的截面曲率均为常数K,则称此黎曼流形为常曲率黎曼空间。又称常曲率空间。由著名的舒尔定理知道,如果dim M≥3并且M上每处的截面曲率的数值与二维切平面的选取无关,则截面曲率也必与点的选取无关,即它必为常曲率黎曼空间。局部地,常曲率K的n维黎曼流形的黎曼曲率张量可表为
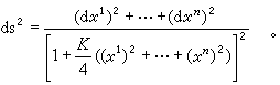
此处gij为黎曼流形的度量张量,1≤i,j,k,l≤n。在适当的坐标系下它的黎曼度量为
局部地,它是n维球面(K>0)、欧氏空间(K=0)或双曲空间(K<0)。整体地说,单连通的完备常曲率空间只能是下列三种:球面、欧氏空间和双曲空间。如不单连通,则其通用覆盖流形必为上述三类之一。J.A.沃尔夫已完全解决了以球面为其通用覆盖的紧致的正常曲率空间的分类。
人们对常曲率黎曼空间感兴趣的原因在于这类黎曼流形结构简单,具有最大的对称性(即容有最大参数的运动群),直观地说,这类空间是均匀各向同性的。它也同时作为共形平坦空间、爱因斯坦空间、齐性黎曼流形或对称黎曼空间等特殊黎曼流形的一类重要的例子。把它作为模型研究清楚以后,通过与这些标准的模型进行诸如曲率等几何量的比较,从而可得到对一般黎曼流形的一系列几何和拓扑的性质。
- 参考书目
- S.Kobayashi and K.Nomizu,Foundation of Differential Geometry, Vol. 1~2, John Wiley & Sons, New York,1963,1969.
- J.A.Wolf.Spaces of Constant Curvature, McGraw-Hill,New York, 1967.