[拼音]:sanjiaoxue
[外文]:trigonometry
以研究平面三角形和球面三角形的边和角的关系为基础,达到测量上的应用为目的的一门学科。同时还研究三角函数的性质以及它的应用。
简史古代埃及人已有三角学知识,三角法主要是适应测量上的需要而产生的。例如,建筑金字塔,整理尼罗河泛滥后的耕地,以及通商航海,观测天象的需要。希腊的自然哲学家泰勒斯的相似理论,可以认为是三角学的萌芽,但历史上都认为希腊的天文学家喜帕恰斯是三角学的创始者。他著有三角学12卷,并作成弦表。
印度人从天文、测量的角度,曾研究过三角学,在公元6世纪,有阿耶波多第一也曾作出正弦表。中国唐代,瞿昙悉旺达在他所编的《开元占经》中曾介绍了印度的正弦表。
德国的J.雷格蒙塔努斯曾研究过天文学与三角学。在他的《论三角》一书中,有仿印度人的正弦表作成的非常精密的正、余弦表。他对天文、航海、测量方面都有很大的贡献。
16世纪法国著名数学家F.韦达的《应用于三角形的数学法则》,是他对三角法研究的第一本书,其中包括他对解直角三角形、斜三角形的一些贡献,例如有正切定理:
17世纪法国数学家棣莫弗也研究过三角问题。他曾发现有名的棣莫弗定理:
从17世纪后半期到18世纪,I.牛顿和丹尼尔第一·伯努利曾发现各种三角级数,例如
直到近代,才在三角学中引进现在使用的三角符号,并将三角法作为解析学的一部分,这是从L.欧拉开始的,欧拉曾发现:
中国的戴煦在他所著的《外切密率》中,讨论了三角函数线与弧度之间的关系,并在他的《假数测图》中,结合三角函数与对数函数的幂级数阐明了三角函数对数表的作法。
三角函数在直角坐标系中,以原点O为顶点,射线Ox为始边,Op为终边的角为θ,设点p的坐标为(x,y),距离|Op|=r,这时6个比
由角θ的大小确定,都是θ的函数,称它们为角θ 的三角函数(见图1
),分别记以下面的符号:
分别叫做角θ的正弦、余弦、正切、余切、正割、余割。
另外在中国古书中,又把1-cosθ、1-sinθ分别叫做正矢、余矢,用下面符号表示:
,
因为一个角θ加以360°或2π弧度的整数倍,它的终边与角θ的终边相同,因此
即三角函数是周期函数,以2π为周期。
如图2
以O为圆心,以1为半径作单位圆。设它与x轴、y轴交于点A、B,∠AOp的终边与圆的切线AT、BT┡分别交于T、T┡,pM⊥Ox,pN⊥Oy。这时
另外
Mp、OM、AT、BT┡、OT、OT┡、MA、NB叫做三角函数线,中国古代把它叫做八线。因此,曾把三角法叫做八线学。
利用三角函数线,可以画出三角函数的曲线。例如,标准正弦曲线y=sinx(如图3
)。
三角函数的基本公式有和角公式:
由此可以导出差角公式、倍角公式、半角公式以及和差化积与积化和差等公式。
如果θ表示弧度,对于θ的任意值,sinθ、cosθ可用下面的无穷级数表示:
式中n!=1×2×3×…×n。求某一角的正弦值和余弦值,可以按这些无穷级数求出,并且可以精确到任意小数位。
三角形的解法设平面三角形的三个角为A、B、C,它们的对边分别为α、b)、с,则有
正弦定理:
(R 为外接圆半径);
余弦定理:
又设球面三角形的三个角为A、B、C,它们的对边分别为α、β、у,则有
正弦定理:
余弦定理:
利用上述定理以及其他一些定理,可在已知三角形的某些元素(边或角)时求出其他未知元素。
反三角函数其定义如表所示:
三角方程
一般指含有某些三角函数的方程,这些三角函数的自变量中含有未知数。
适合于方程的一个未知数的实数值(可以理解为角的弧度数)叫做三角方程的一个解;适合于方程的未知数的实数值的集合叫做三角方程的通解。
形如sinx=α的方程叫做最简三角方程。它们的解分别是:
(1)sinx=α
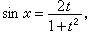
当|α|>1时无解。当α=1时通解为
当α=-1时通解为
。当|α|<1时,通解为x=nπ+(-1)narcsin α(n为整数)。
(2)cosx=α
当|α|>1时无解。当α=1时通解为x=2nπ,当α=-1时通解为 x=(2n+1)π。当|α|<1 时通解为x=2nπ±arccosα(n为整数)。
(3)tan x=α
通解为nπ+arctanα (n为整数)。
(4)cot x=α
通解为nπ+arccotα (n为整数)。
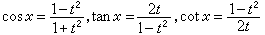
一些特殊形式的三角方程可有精确解法。例如,形如ƒ(sinx,cosx,tanx,cotx)=0的方程,这里ƒ是有理函数,可用万能公式,令
然后以
代入原方程,即可得到关于t的有理方程。用这个方法,可以求出除了形如x=(2n+1)π以外的方程的所有解。不能用精确解法来解的三角方程,可以用近似方法求解。