[拼音]:Maikesiwei sudu fenbulü
[外文]:Maxwell’s distribution law of velocity
指平衡状态下理想气体分子速度分布的统计规律。1859年,J.C.麦克斯韦首先获得气体分子速度的分布规律,尔后,又为L.玻耳兹曼由碰撞理论严格导出。处于平衡状态下的理想气体分子以不同的速度运动,由于碰撞,每个分子的速度都不断地改变,使分子具有各种速度。因为分子数目很大,分子速度的大小和方向是无规的,所以无法知道具有确定速度υ的分子数是多少,但可知道速度在υ1与υ2之间的分子数是多少。麦克斯韦首先得到,在平衡状态下,当气体分子间相互作用可以忽略时,分布在任一速率区间υ~υ+dυ内的分子数与总分子数的比率为
即速率分布函数为
式中T是气体的温度,m是分子的质量,k是玻耳兹曼常数。图中的曲线叫速率分布曲线,它描绘出气体分子按速率的分布情况。中任一区间 υ~υ+dυ内曲线下的窄条面积与总面积的比表示速率分布在这个区间内的分子数的比率
。由看出,速率很大和很小的分子所占的比率都很小。1920年O.斯特恩最先用原子束(分子束)实验直接验证了麦克斯韦速率分布律的正确性。
从麦克斯韦速率分布函数出发,可以求出气体分子的最可几速率、均方根速率和平均速率。
(1)最可几速率υm。定义为概率最大的速率。即在这速率下,分布函数f(υ)具有极大值。此时
(2)均方根速率υr。定义为速率平方平均的平方根值。可得
(3)平均速率尌。定义为速率的算术平均值。有
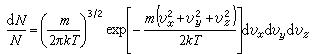
考虑到气体分子速度方向以后,就可以得出气体分子速度的分布律。用v表示气体分子的速度矢量,υx、υy、υz分别表示 v沿直角坐标轴x、y、z的分量。从理论上可推出:在平衡状态下,当气体分子间的相互作用可以忽略时,速度分量υx在υx~υx+dυx内,υy在υy~υy+dυy内,υz在υz~υz+dυz内的分子数的比率为
。
这个结论叫做麦克斯韦速度分布律。
1872年,玻耳兹曼创立了系统的气体输运理论,从研究非平衡态分布函数着手,建立了H定理(见统计物理学)。玻耳兹曼根据H定理证明,在达到平衡状态时,气体分子的速度分布趋于麦克斯韦分布。