黎曼流形的变换群

黎曼流形上的具有特殊性质的各种变换群,其中最重要的是等距变换群(又称运动群)、射影变换群和共形变换群。它主要研究黎曼流形上的各种变换群的不变性质以及容有各种变换群的黎曼流形的几何性质和拓扑性质。

ƒ是黎曼流形(Mg)到自身上的一个微分同胚。在局部坐标系下,设,如果成立

ƒ保持度量张量 g不变,则称ƒ是一个等距变换(又称运动)。它是欧氏空间的运动在黎曼流形上的推广。在等距变换下,切向量的长度、交角以及两点之间的距离均保持不变,测地线变到测地线。N.E.斯廷罗德和S.B.迈尔斯证明了:M上所有的等距变换依变换的乘法构成一个李群。这个群称为M的最大等距变换群(又称完全运动群),相应的子群称为M的等距变换群(或运动群)。设M上一个向量场所生成的单参数变换群为φi满足方程,如果对任一tφt都是等距变换,就称φt为单参数等距变换群或称X为无穷小运动(又称基灵向量场)。X为无穷小运动的充要条件为X满足基灵方程

这里“┡”表示协变导数,

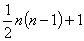
n维黎曼流形M的最大等距变换群的参数个数至多是个,而达到这个数目时,M必是常曲率空间。由此可以看出,一个黎曼流形最多能容许含有多少个参数的某种变换群是与流形本身的几何性质和拓扑性质密切相关的。G.富比尼首先发现黎曼流形的最大等距变换群的参数个数是有空隙的。后经И.∏.叶戈罗夫、矢野健太郎、若桑英清、王宪钟等人的研究,确定了第一空隙,即 n维黎曼流形不容许参数个数 r介于 之间的最大等距变换群,并且在n>243的条件下确定了第二空隙。1964年,胡和生给出了确定空隙的一般方法并完全确定了开首八个空隙和相应空间的局部线素形式。

如果黎曼流形(Mg)到自身上的微分同胚ƒ将测地线变到测地线,就称ƒ是射影变换。M上所有的射影变换依变换乘法构成的群称为最大射影变换群,相应的子群称为射影变换群。在局部坐标下,ƒ是射影变换的充要条件为:存在函数φ,使得成立

这里是第二类克里斯托费尔符号,射影变换下最重要的不变张量是下式定义的射影曲率张量

式中Rij分别是M的曲率张量和里奇曲率张量。一个黎曼流形的最大射影变换群的参数个数至多是 n2+2n个,而达到这个数目时,它必定是常曲率空间。向量场 X生成单参数射影变换群的充要条件为X 满足方程:

如果黎曼流形(Mg)到自身上的微分同胚ƒ 保持向量的夹角不变,即在局部坐标系下成立

式中σ是某一函数,就称 ƒ是共形变换。M上所有的共形变换依变换的乘法构成的群称为M的最大共形变换群,相应的子群称为共形变换群。共形变换下最重要的不变张量是由下式定义的共形曲率张量

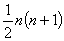
这里R 是数量曲率。一个黎曼流形的最大共形变换群的参数个数至多是个。 向量场 X生成单参数共形变换群的充要条件为X 满足方程

参考书目
  1. S.Kobayashi and K.Nomizu,Foundations of Diff-erential Geometry,Vol.1, John Wiley & Sons ,New York,1963.
  2. 苏步青编著:《现代微分几何学概论》,上海科学技术出版社,上海,1961。