[拼音]:Zhu Shijie
中国元代数学家,字汉卿,号松庭,北京附近人。著有《算学启蒙》(1299)、《四元玉鉴》(1303)传世。他和秦九韶、李冶、杨辉一起被称为是中国宋元时期著名的数学家。
关于朱世杰的生平,遗留下来的资料甚少。在别人为他的著作所写的序言中有:“燕山松庭朱先生以数学名家周游湖海二十余年矣,四方之来学者日众”;“汉卿名世杰,松庭其自号也,周流四方,复游广陵,踵门而学者云集”,由此可知,朱世杰曾以数学教学和数学研究为业游学四方。他从事这些活动的时代,大约是在13世纪后期的20~30年和14世纪开头的10~20年之间。
《算学启蒙》 全书共三卷20门259个问题,从简单的四则运算入手,逐步深入,直至高次开方、天元术等较高深的内容,形成了比较完整的体系,是一部当时较好的启蒙数学书。全书之首,朱世杰列出了各种常用数据、基本运算法则、歌诀等共18条。其中的归除歌诀与后世珠算所用歌诀完全相同;所给出的正负数乘除法法则,在中国数学史上也是首次出现。
《算学启蒙》继承了《九章算术》以来中国古代数学的传统,书中问题大都与当时的社会实际生活有关,对元代社会史、经济史的研究,有一定参考价值。此书曾流传至朝鲜和日本。中国现存的《算学启蒙》,就是根据1660年朝鲜刻本于1839年翻刻的。
《四元玉鉴》 全书三卷 24门288问。从所包含的数学内容来看,高次方程组(最多可包括四个未知数)解法、高阶等差级数求和、高次内插法等等都是书中的重要内容。
在宋代天元术和增乘开方法的基础上,13世纪中叶以后,在河北、山西等地,天元术迅速发展成为四元术。祖颐在为《四元玉鉴》所写的后序中说:“平阳(山西临汾)蒋周(13世纪)撰《益古》,博陆(河北蠡县)李文一撰《照胆》,鹿泉(河北获鹿)石道信撰《钤经》,平水(山西绛县)刘汝谐撰《如积释锁》,绛(山西新绛)人元裕细草之,后人始知有天元也。平阳李德载因撰《两仪群英集臻》,兼有地元。霍山(山西临汾)邢先生颂不高弟刘大鉴润夫撰《乾坤括囊》,末仅有人元二问。吾友燕山朱汉卿先生演数有年,探三才之颐,索《九章》之稳,按天地人物立成四元,……”,其中讲的正是这一段由天元术发展到四元术的历史。
众所周知,求解多元方程组问题的关键是消去法。莫若、祖颐为《四元玉鉴》所写的序中有:“其法以元气居中,立天元一于下,地元一于左,人元一于右,物一于上……”,“……考图明之,上升下降,左右进退,互通变化,乘除往来,用假象真,以虚问实,错综正负,分成四式。必以寄之、剔之、余筹易位,横冲直撞,精而不杂,自然而然,消而和会,以成开方之式也。”其中讲的正是四元式的表示方法和消元方法。设以x、y、z、u表示四个未知数(当时为天、地、人、物),把常数项放在中央(记为“太”,此即所谓“元气居中”),各未知数的各次幂依次放在上下左右,而各未知数各次幂的两两乘积则置于平面的相应位置上(图1)。
例如x+y+z+u可表示如图2;而
可表示如图3。这既是四元方程,也是四元多项式的表示方法。显然,这是中国古代位值制记数法的又一次新的发展。
四元式的加减法,以常数项为准,将其余相应各项相加减即可。以未知数的整次幂乘除,将整个四元式上升下降,左右进退即可。以四元式中某行乘另一四元式,等于将该行各项分别乘以四元式之后诸四元式之和。四元式乘四元式等于以一式各行乘另式所得诸四元式之和。
这是中国,也是世界数学史上最早出现的关于多项式的运算。
以二元方程组为例,朱世杰的消去法相当于把方程组看成是(假如最高次数为2次)
式中A0、A1、A2、B0、B1、B2均只含x不含y的多项式,则以B0乘(1),A0乘(2)相消之后得:
(3)
同样(1)、(3)或(2)、(3)相消得:
(4)
(3)、(4)相消即可得出只含一个未知数的方程。方程组次数高于2次,三元或四元方程组,都可用此消去法来求解。这也是世界上最早的多元高次方程组的解法。
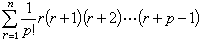
此外,高阶等差级数求和、招差法等则是朱世杰的又一项重大成就。他实际上已经掌握了公式
。 (5)
在该书中还有其他的高阶等差级数求和公式。
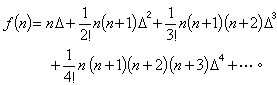
在招差法方面,朱世杰实际上给出了招差公式:
虽然《四元玉鉴》还只是给出了包含有四次差(Δ4)的公式,但由于朱世杰已经知道公式各项系数正是前述一系列高阶等差级数(5)式的“积”,可以认为朱世杰已经通晓了任意高次的招差法公式。这比西方要早四百余年。
综上所述,朱世杰不愧是宋元时代杰出的数学家。清代《畴人传·续编》评论他说“汉卿在宋元间,与秦道古(九韶)、李仁卿(李冶)可称鼎足而三。道古正负开方、仁卿天元如积,皆足上下千古,汉卿又兼包众有,充类尽量,神而明之,尤超越乎秦李两家之上”。美国著名的科学史家G.萨顿评论说:朱世杰“是他所生存时代的,同时也是贯穿古今的一位最杰出的数学家”而他所著的《四元玉鉴》则是“中国数学著作中最重要的一部,同时也是整个中世纪最杰出的数学著作之一”。