[拼音]:Dasenfangji
[外文]:おおもりふさきち (1868~1923)
日本早期著名地震学家,1868年10月30日生于日本的福井,1923年11月8日病逝于东京。大森房吉1890年毕业于东京帝国大学理学部物理学科,受到英籍地震学家米尔恩(J.Milne)的鼓励,开始研究地震。1892年为日本文部省震灾预防调查会的委员,1893年任东京大学地震学讲师,1895年曾去德国和意大利进修,1897~1923年任地震学教授和震灾预防调查会的总干事。
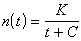
大森房吉研究了1891年日本浓尾大地震及其余震,发现大地震的余震频数随时间作双曲线式的衰减,由此求出著名的大森余震公式:
。
大森房吉设计了各种型式的地震仪,其中以大森式水平摆地震仪为最有名。大森房吉还发现近地震记录中 S波以前的振动持续时间τ与震源距R 成线性关系
R =kτ,
这个关系后来成为测定震中位置的最早的根据。
大森房吉的研究涉及地震学的各个领域。他还研究了地震时的地面振动、地震破坏、地震区划、地震发生的周期性、火山等,并参与编辑了日本历史地震目录和地震史料。他的论文极多,达数千页,多发表在早期出版的英、日文刊物中。