[拼音]:Fulanghefei yanshe
[外文]:Fraunhofer diffraction
一个衍射系统由光源、衍射屏、接收屏三者组成。用平行光照明衍射屏且在无限远接收的衍射场,定义为夫琅和费衍射。此时,入射场为 堚1(x,y)=A1=常数,屏函数设为 慙(x,y),则透射场(即衍射场波阵面)为堚2(x,y)=A1慙(x,y),代入旁轴条件下的衍射积分公式(见光的衍射),得夫琅和费衍射场的角分布为
式中方位角(θ1,θ2)为衍射方向 ro矢量在参考平面(x,y)上的针对点坐标(x′,y′)与z轴的夹角,参见图1。上式是夫琅和费衍射场的标准形式,其特点是衍射积分中的被积函数等于屏函数与线性相因子的乘积。所谓线性相因子是指相因子嗞(x,y)=-k(sinθ1x+sinθ2y),它是波阵面次波源坐标(x,y)的线性函数。 无论什么装置──怎样照明、何处接收,凡是衍射场符合此标准形式的,统归于夫琅和费衍射,这就从本质上将它与菲涅耳衍射区别开来,为衍射系统的判断提供了一个统一的理论标准。以此为标准可以论证图2所列的几种装置都能接收到夫琅和费衍射场。
接收夫琅和费衍射场的实验装置
(1) 后焦面接收装置。如图2a所示。它采用透镜系统将点源置于第一个透镜的前焦点,以产生平行光照明衍射屏,将接收屏置于第二个透镜的后焦面,以会聚一束衍射角为(θ1,θ2)的次波波线相干叠加于场点P(x′,y′)。
(2)无透镜的远场接收装置。如图2b所示。它用一个透镜产生平行光照明衍射屏,在远场zλ
x2,zλ
y2范围内接收衍射场。自从高亮度的激光器应用以后,这种装置已在实验室中采用。实验前应根据衍射屏的尺寸,对远场距离有一个量级估算,以便正确置放接收器。设光波长λ≈0.6μm, 光孔线度a≈100μm,则远场距离z
a2/λ≈16mm,取50倍为80cm以远;当a≈1mm,取z为80m以远;当 a≈1cm,则z应取8km以远,从实验室眼光看,这是一个不得了的距离。
(3)有透镜的像面接收装置。如图2c、2d所示。前者衍射屏置于像方(透镜之后),后者衍射屏置于物方(透镜之前),这两种装置都是点光源S产生的球面波照明衍射屏,而在像点S′的平面(像面)上接收衍射场。实际上,图2d装置可以看作图2c装置的逆装置,两者物像位置互换,它在像面上接收到的仍然是夫琅和费衍射场。值得注意的是,像面接收夫琅和费衍射场的两种装置只须旁轴条件,并不要求远场条件。当然,它们对透镜的成像要求是严格的。
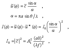
夫琅和费单缝衍射设单缝在x方向的宽度为Δx=a,y方向的长度Δy=b,单狭缝要求b≥a,衍射光强主要沿x′方向展开,属于一维衍射,可由矢量图解法(图3)或衍射积分法得到衍射场的复振幅分布和光强分布为
式中 θ为衍射角,Io为零级衍射斑中心的强度。强度分布函数曲线如图4。衍射图样的主要特征是:强度最大方位落在几何像点位置;强度为零(暗点)的位置条件为asinθ=kλ,k为不等于0的正负整数;表征衍射显著程度的物理量取零级斑的半角宽度Δθ,它由下式决定
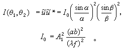
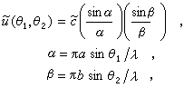
夫琅和费矩孔衍射
设矩孔在x、y方向的宽度分别为Δx=a,Δy=b,两者皆小,衍射光强在(x′,y′)平面上展开,属于二维衍射,可由衍射积分法算出衍射场的复振幅分布和光强分布为
矩孔衍射图像的特点是:中央是强度最大的零级斑,零级斑中心正是几何像点位置;沿两个正交方向还有一系列横向的高级衍射斑;表征衍射显著程度的半角宽度公式为
或者写成反比律形式
aΔθ1≈λ, bΔθ2≈λ。当波长λ→0或a→∞,b→∞时,则Δθ1→0,Δθ2→0,衍射图样收缩到几何像点(δ函数形式),这说明几何光学正是波动光学的短波极限,同时说明在自由空间中光沿直线传播。
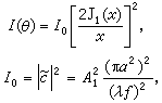
夫琅和费圆孔衍射
夫琅和费圆孔衍射积分的定量计算较为复杂,由轴对称分析可知其衍射图样是以几何像点为中心而展开的一系列同心环,其零级衍射斑又称为爱里斑,如图5所示。严格计算的结果是,衍射场复振幅分布为
光强分布为
爱里斑半角宽度为
式中a是圆孔半径,θ是衍射角,J1(x)是一阶贝塞尔函数,I(x)函数线型如图6。