大陆度

大陆度指数的简称,表示某地的气候受大陆影响的程度。由于海洋和大陆热力性质的不同,以及大气的运动,不同的地点受海洋和大陆的影响有差异。某地大陆度大,即受大陆影响大。

1888年,波兰W.戈尔琴斯基首先提出以气温相对变幅为基础表示大陆度。其后,许多学者提出了各自表示大陆度的方法,主要有温度法、气团法等。最常见的大陆度是以气温年较差为基础的。此外,还有以降水和太阳辐射所对应的温度效应表示的大陆度,或综合几种气象要素表示的大陆度。

温度法

以气温,特别是气温年较差为基础计算大陆度。气温、降水、湿度等气象要素都能显示大陆影响的强弱,其中尤以气温年较差为显著。温度法可分为两类:

(1)用温度年较差表示海陆的影响程度,并除以纬度的正弦,消除纬度对气温年较差的影响。公式为:

公式 符号

式中K为大陆度;A为气温年较差(℃);φ为纬度。不同学者以上述公式为基础,提出不同的经验式,如戈尔琴斯基经验式为

公式 符号

(2)用1月、7月温度距平值表征大陆度,其公式为

公式 符号

公式 符号

式中Ai为某一纬度上某地的气温距平值;A嚚为在该纬圈上,该月的最大正距平值;A嚛为在该纬圈上,该月的最大负距平值;K1K7分别为该地1月和7月的大陆度。

气团法

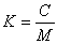
气团是所有气象要素的综合,在海洋性气团影响下为海洋性气候,在大陆性气团影响下为大陆性气候。其公式为

公式 符号

式中C为大陆性气团出现频率;M为海洋性气团出现频率。这种方法可用以测定年、 季、 月或其他时段的大陆度,缺点是有时气团属性不易确定。