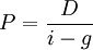
该模型认为,用投资者的必要收益率折现股票的必要现金红利,可以计算出股票的理论价格。
戈登模型(GoldenModel)揭示了股票价格、预期基期股息、贴现率和股息固定增长率之间的关系,用公式表示为:

其中:P为股票价格;D为预期基期每股股息;i为贴现率;g为股息年增长率。
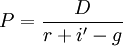
由于股票市场的投资风险一般大于货币市场,投资于股票市场的资金势必要求得到一定的风险报酬,使股票市场收益率高于货币市场,形成一种收益与风险相对应的较为稳定的比价结构,所以戈登模型中的贴现率i应包括两部分,其一是货币市场利率r,其二是股票的风险报酬率i′,即i=r+i′,故戈登模型可进一步改写为如下公式:

这一模型说明股票价格P与货币市场利率r成反向关系,r越高,股价P越低,反之亦然,这一关系被现今各国实践所证实。
戈登股利增长模型的公式详解:
贴现现金流模型的公式如下:

式中:
V——股票的内在价值;
Dt——在未来时期以现金形式表示的每股股利;
k——在一定风险程度下现金流的合适的贴现率。
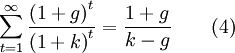
如果我们假设股利永远按不变的增长率增长,那么就会建立不变增长模型。T时点的股利为:

将(2)式代入(1)式,得到:

运用数学中无穷级数的性质,如果k>g,可知:

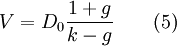
把公式(4)代入公式(3)中,得出不变增长模型的价值公式:

假如去年某公司支付每股股利为1.80元,预计在未来日子里该公司股票的股利按每年5%的速率增长。因此,预期下一年股利等于1.80×(1+0.05)=1.89(元)。假定必要收益率是11%,根据公式(5)可知,该公司的股票等于1.80×(1+0.05)/(0.11-0.05)=1.89/(0.11-0.05)=31.50(元)。而当今每股股票价格是40元,因此股票被高估8.50元,建议当前持有该股票的投资者出售其股票。
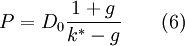
方程(5)可用于解出不变增长证券的内部收益率。首先,用股票的当今价格代替V,其次,用k*代替k,其结果是:

经过变换,可得:

用上述公式来计算上例公司股票的内部收益率,得出:

由于该公司股票的内在收益率小于其必要收益率,显示出该公司股票价格被高估。














