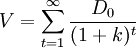
零增长模型假定股利增长率等于0,即g=0,也就是说未来的股利按一个固定数量支付。贴现现金流模型的公式如下:

(1)
式中:
V——股票的内在价值;
Dt——在未来时期以现金形式表示的每股股利;
k——在一定风险程度下现金流的合适的贴现率。
根据这个假定,我们用D0来改换方程(1)中的Dt:


(2)
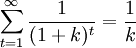
因为k>0,按照数学中无穷级数的性质,可知:

代入公式(2.21)中,得出零增长模型公式:

(3)
式中:
V——股票的内在价值;
D0——在未来无限时期支付的每股股利;
k——到期收益率。
例如,假定某公司在未来无限时期支付的每股股利为8元,必要收益率为10%,运用公式(3),可知1股该公司股票的价值等于8/0.10=80(元),而当时1股股票价格为65元,每股股票净现值等于80-65=15(元),说明该股股票被低估15元,因此建议可以购买该种股票。














