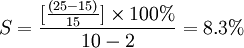
图2-3是计算趋势线斜率的示意图,在图中:


图2-3趋势线斜率的计算示意图
式中,S:趋势线斜率。趋势线斜率为正时,股价上升;趋势线斜率为负时,股价下降。
P:股票价格或股指。
T:时间周期。
假设:
P2=25元,P1=15元,T2=10月,T1=2月。

8.3%就是图2-3的斜率。当斜率为正时,股价上升。斜率的值越大,上升的速度越快;当斜率为负时,股价下降。斜率的值越大,下降速度越快。年增长率近似等于99%。
当佛郎克趋势线的斜率是1.5时,股价的年增长率就是18%。如果投机收购趋势线、投机拉升趋势线和投机派发趋势线的斜率都大于它,这说明有庄家和跟庄者在兴风作浪。由于庄家和跟庄者的介入,影响了股价随机过程的振动幅度,正常的投机活动就变为投机垄断活动。第一章我们已经论述过正常的投机收购、投机拉升和投机派发对股价随机过程的振幅影响不大,它的波动反映了股票的真实成长性,它的斜率就是佛郎克趋势线斜率。一旦投机垄断和投机欺诈介入,这三条趋势线的斜率将增大,随机过程的振幅也相应加剧。
在三条心理趋势线的命名上为什么加上“投机”二字?主要是借以强调股票买卖的投机心理行为,随时提醒投资大众:股票买卖活动是一种投机活动,以达到警钟长鸣的目的。另一方面是强调这三条趋势线的性质会随时发生变化,一旦投机垄断介入,这三条趋势线斜率会猛增,进而变为投机垄断收购、投机垄断拉升和投机垄断派发。这时,在股市的投机者就要及时改变自己的投机思路(如止损位的设置等)并随时提醒自己,您面对的是一个强大的对手,只有您比他高明时,才能战胜他。
这种三段分析方法和理论更符合人们的心理活动。投资大众和股市的庄家总是想在股价低位买进筹码或控制筹码。在买进筹码后都希望股价上升,每一个持有股票的人都希望股价上升得越高越好。人的心理因素决定了股票的价格,市场价格也应该反映投机大众的心理活动。当股价上升到高位时,持股者又都想在高位把股票兑现成利润。所以,在这种心理活动的趋势下形成了价格走势的三条趋势线,这符合股价变化的内在客观规律。投机大众就是沿着这三条趋势线与庄家斗智斗勇,从而形成股价在这三条趋势线上的随机波动。
以上三条趋势线是一条心理趋势线,反映的是一个短期心理活动行为。这三条趋势线符合宏观经济发展的内在客观规律,其最后的结果将是收敛在反映宏观经济变化的佛郎克趋势线上。
“三段三阶”数学模型给出了股价趋势线的研究方向。只要对趋势线进行研究,就能预测股价的走势。如何界定这四条趋势线的斜率和它们的起始点是我们将要进一步研究的课题,将在以后的章节中给予详细论述。
运用包括最新发明的3TM监视资金函数在内的各种技术指标和概率统计分析方法,来分析研究三段三阶走势的特点和预测这些走势的规律,称为“三段三阶理论”。特别强调的是,“三段三阶理论”重点研究的方向是个股和大盘走势的起因及其所带来的结果。
三段三阶股市分析理论对股票的走势规律最后定义如下:
股价的波动是:A段——B段三阶——C段三阶——A段——B段三阶——C段三阶……这种“三段三阶”周而复始地沿着佛郎克趋势线向上无限地循环下去。














