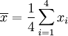
这里示范如何计算一组数的标准差。例如一群孩童年龄的数值为{5,6,8,9}:
第一步,计算平均值


n=4(因为集合里有4个数),分别设为:

,

,

,


用4取代N



此为平均值。
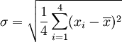
第二步,计算标准差



用4取代N

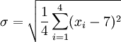
用7取代







浏览
这里示范如何计算一组数的标准差。例如一群孩童年龄的数值为{5,6,8,9}:
第一步,计算平均值


n=4(因为集合里有4个数),分别设为:

,

,

,


用4取代N



此为平均值。
第二步,计算标准差



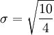
用4取代N

用7取代






