(1)固定成长模式
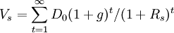
一般来说,公司并没有把每年的盈利全部作为股利分配出去,留存的收益扩大了公司的资本金,不断增长的资本应当创造更多的盈余,进一步又引起下期股利的增长。如果公司本期的
股利为D0,未来各期的股利按上期股利的g速度呈几何级数增长,根据股票价值基本模式,股票价值Vs为:

因为g是一个固定常数,上式可以化简为:
Vs=D1/(Rs g)
(2)零增长模式
如果公司未来各期发放的股利是固定的或者说各期发放的股利都相等,那么这样股票与优先股是相类似的。或者说,当上式中g=0,D1=D2=……=D时,则:Vs=D/Rs
(3)阶段性成长模式
许多公司的盈余在某一期间有一个超常的增长率,这段期间的增长率可能大于Rs,而后阶段公司的盈余固定不变或正常增长。对于阶段性成长的股票,需要分段计算,才能确定股票的价值。














