国际上对于股权风险溢价的研究主要包括两大类:一类是基于历史的,另一类是面向未来的。历史法的研究早在20世纪60年代就开始了,这些年来在成熟市场的研究已经比较完善。
Comell(2000,中译本)在专著《股权风险溢价——股票市场的远期前景》中计算了美国市场1926—1997年的股权风险溢价,其中’普通股的平均收益比国库券的平均收益高9.2个百分点,比长期国债的平均收益高7.4个百分点。Dimson和Marsh(2001)度量了国际市场的股权风险溢价。
面向未来法的基本预测方法为贴现现金流法,它包括利用单阶段和多阶段方法进行预测。Blanchard(1993)、Kaplan和Ruback(1995)对贴现现金流法做了修正和改进;Claus与Thomas(1999)基于会计假设,提出反常收益的概念计算股权风险溢价等等。不同的预测方法往往会产生很大的差别,这也成为学术界讨论的焦点。
1、收益变现法
收益变现方法简单来说就是运用历史收益来估计未来收益,运用投资者在一些持有期已经实现的平均收益溢价来计算。其理论基础为:过去的市场行为提供了未来行为的基础;投资者的预期受市场历史表现的影响。如果周期性收益(如月度性收益)是相互独立的(既不相关),并且在这段时期期望收益是稳定的,那么历史收益的数学平均值提供了未来期望收益的无偏估计;历史证券价格反映了可观测到的证券的收益,通过分析历史的股权风险溢价可以合理的估计同样价格水平上的风险溢价。
首先是观察期的选择,在运用实现收益方法时,分析师对观察期的选择直接影响对股权风险溢价的判断。一种学派认为最好使用尽可能长时期的历史收益来估计未来收益,理由是获得的数据越多,其判断越精确。但是,如果股票平均预期收益随时间改变,那么使用长期历史数据平均值的可信性就值得怀疑了。如果经济状况变化使得预期收益不断发生变化,那么使用短期数据进行估计可能要比使用长期数据要好的多。而运用短期平均收益的缺点是每年股票收益的高度变化,这使得它们在估计预期收益时会产生大量的误差。比如美国不同学者通过对不同历史阶段(即1802~1998、1889~2000、1926~20O0、1947~2000年4个阶段)的市场指数和无风险资产实际收益来进行股权风险溢价水平的研究,测出4个阶段的风险溢价水平分别为4.1%、6.9%、8.0%、7.8%。由此我们可以看到,周期的选择会对股权风险溢价水平产生巨大的影响,使在美国这样成熟的资本市场,周期不同,股权风险溢价水平也显著不同。其次是计算方法的选择,一般而言,收益率的计算有两种计算方法:算术平均数收益率和几何平均数收益率。分别用算术平均数和几何平均数计算的1926—1961年和1962—1997的美国股票市场风险溢价结果为:与国库券收益报酬相比的股权溢价,算术平均值为10.4%和5.2%,几何平均值为7.6%和4.O%;股票市场每年收益为24.2%和15.9%,长期国债收益报酬为0.6%和2.3%,长期国债的全部收益为5.3%和11.6%。(资料来源:IbbotsonandSinquefield)从1926年到1997年美国的股权风险溢价分析可以看到,收益溢价的几何(复合)平均值一般要小于其算术平均值。那么在计算ERP时采用算术平均数还是几何平均数?使用算术平均数依赖于以下假设:
①各类数据是独立的;
②市场收益的分配稳定。在这些假设下,算术平均值给除了预期未来收益的无偏估计。
2、前瞻性方法
前面所说的收益变现方法是通过分析历史收益来得到市场期望收益率的估计值,而前瞻性方法是以市场价值为权数,对市场上大量单个公司的收益率进行加权平均得到市场的期望收益率。那么如何对单个公司的期望收益进行预测呢?金融理论认为股利贴现模型(DDM)是计算证券期望收益率的标准模型。该理论假设股票价值是全部未来股利的现值,如果一个公司没有支付当前股利,那么该理论认为它今天投资的项目必须在未来能带来更大的股利。
(1)Gorden模型。Gorden模型是假设股利增长率保持不变的一种模型形式,以g表示股利增长率,则股票的价值P=D1/(r—g),式中:D1是第一期所发放的股利;r是折现率。实际上,r就是股票的预期收益率,或者说是股权资本成本。解出r,有r=D1/P+g。
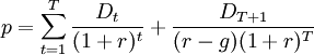
(2)多阶段增长模型。多阶段增长模型假定在某一时刻T之后股利增长率为一常数g,但在此之前股利增长率是可变的,多阶段增长模型的形式如下:

式中:Dt是第t期所发放的股利;DT+1是第T+1期所发放的股利。
分析师首先预测公司的未来股利,然后通过设置当前市场价格等于未来股利的现值得到内部收益率,如果时常期望值与分析师的预测值一致,那么就可以得到该股票的期望收益率。运用这种方法以美林高盛公司为代表,美林高盛公司每月都会在自己的刊物《数据分析}(quantitativeprofiles)上公布通过股利贴现模型(DDM)得出的几百家公司的预期收益率。














