股息贴现模型基本的函数形式

浏览

股息贴现模型基本的函数形式

股息贴现模型基本的函数形式

(1)

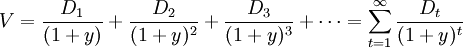
其中,V代表普通股的内在价值,Dt是普通股第t期预计支付的股息和红利,y是贴现率,又称资本化率(thecapitalizationrate)。

该式同样适用于持有期t为有限的股票价值分析


相关文章