t——当日;
n——时间长度;
Ci——第i日的收盘价。
计算公式:
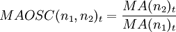
MAOSC(n1,n2)t=MA(n1)t MA(n2)t
或

其中:

(最近n1日内收盘价的移动平均值)

(最近n2日内收盘价的移动平均值)
注:
1、一般取n1=3,6;n2=6,12。
2、如果取n1=3、n2=6,移动平均摆动量就变成了三减六日乖离率;如果取n1=6、n2=12,移动平均摆动量就成了十二日乖离率;如果取n1=1,移动平均摆动量就变成摆动量。
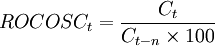
3、摆动量的另外二种分类及计算公式:
动量摆动MOSC:MOSCt=Ct Ct n
变动速率摆动ROCOSCt:















