用股息贴现模型指导证券投资

浏览

用股息贴现模型指导证券投资

目的:通过判断股票价值的低估或是高估来指导证券的买卖。

方法一:计算股票投资的净现值NPV

用股息贴现模型指导证券投资

(3)

当NPV大于零时,可以逢低买入

当NPV小于零时,可以逢高卖出

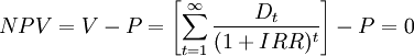
方法二:比较贴现率与内部收益率的大小

内部收益率(internalrateofreturn),简称IRR,是当净现值等于零时的一个特殊的贴现率即:

用股息贴现模型指导证券投资

(4)

净现值大于零,该股票被低估

净现值小于零,该股票被高估


相关文章