1、股利固定模型
如果长期持有股票,且各年股利固定,其支付过程即为一个永续年金,则该股票价值的计算公式为:

式中,D为各年收到的固定股息;其他符号的含义与基本公式相同。
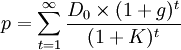
2、股利固定增长模型
从理论上看,企业的股利不应当是固定不变的,而应当是不断增长的。假定企业长期持有股票,且各年股利按照固定比例增长,则股票价值计算公式为:

式中,D0为评价时发放的股利;g为股利每年的增长率;其他符号含义与基本公式相同。
如果g

3、三阶段增长模型
在现实生活中,有的公司股利是不固定的。如果预计未来一段时间内股利将高速增长,接下来的时间则为正常固定增长或者固定不变,则可以分别计算高速增长、正常固定增长、固定不变等各阶段未来收益的现值,各阶段现值之和就是股利非固定增长情况下的股票价值。
p=股利高速增长阶段现值+股利固定增长阶段现值+股利固定不变阶段现值














