持有期回收率的计算公式为:
持有期回收率

、
持有期回收率

或:
持有期回收率=1+持有期收益率
例:
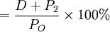
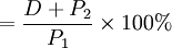
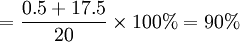
如某投资者买某一股票,买入价为20元,卖出价为17.5元,此间分得0.5元的现金红利,则投资收益率及回收率分别为:
持有期收益率

持有期收益率

或:
持有期收益率

浏览
持有期回收率的计算公式为:
持有期回收率

、
持有期回收率

或:
持有期回收率=1+持有期收益率
例:
如某投资者买某一股票,买入价为20元,卖出价为17.5元,此间分得0.5元的现金红利,则投资收益率及回收率分别为:
持有期收益率

持有期收益率

或:
持有期收益率
