拉斯拜尔指数计算公式

浏览

拉斯拜尔指数计算公式

拉斯拜尔指数计算公式

*固定乘数

拉斯拜尔指数计算公式

*固定乘数

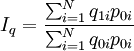
p1i表示报告期股价,p0i表示基期股价,q0i表示基期发行量或成交量,n是样本个数,固定乘数一般为100。


相关文章