总体参数中除了均值和比例的估计之外,还经常要对差异的情况作出估计,例如:一架飞机的电缆如果发生断裂,飞机就会市区控制,因而严格控制其质量非常必要。但只知道电缆的平均强度是否达到标准是不够的,因为如果电缆差异太大,电缆强度太强,都容易发生断裂,后果不堪设想。所以对于电缆强度质量不仅应知道均值,而且还应知道方差,即需要要对电缆的方差进行估计。
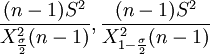
对方差进行估计要用到Excel中的卡方分布反函数CHIINV。若已知总体方差σ2(总体方差未知时用样本方差S2代替总体方差)和样本数,对于给定的显著性水平σ,利用CHINV函数可以求出临界值

和

,则总体方差σd的置信度为1 σ的置信区间为
(

)。
其中,

和

分别是自由度为n 1的X2分布的

和

的水平的分位数。














