幅度分析指标的指标构成

浏览

幅度分析指标的指标构成

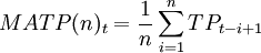
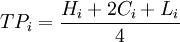
t——当日;

n——时间长度;

Ci——第i日的收盘价;

Hi——第i日的最高价;

Li——第i日的最低价。

计算公式(幅度分析):

幅度分析指标的指标构成

幅度分析指标的指标构成

其中:一般取n=12。


相关文章