市盈率=普通股每股市场价格÷普通股每年每股盈利
上式中的分子是当前的每股市价,分母可用最近一年盈利,也可用未来一年或几年的预测盈利。市盈率是估计普通股价值的最基本、最重要的指标之一。一般认为该比率保持在20-30之间是正常的,过小说明股价低,风险小,值得购买;过大则说明股价高,风险大,购买时应谨慎。但高市盈率股票多为热门股,低市盈率股票可能为冷门股。
每股盈利一般根据过去四个季度的盈利计算(现行市盈率),但有时也根据未来四个季度的盈利预测计算(预测市盈率)。第三个方法是将上两个季度的实际盈利加上未来两个季度的预测盈利,根据这个总和计算市盈率。
投资人对每一块钱的税后盈余愿意出多少钱来购买。就公司的观点而言,此一比率表示公司对股东权益市价的权利能力。在投资分析时,市盈率和每股盈余都相当重要,由于市盈率乘以每股盈余可以得到股票价格,于是常利用这一个关系求得股票应有的价格,股票价格经常反映出投资人对公司未来预期的盈余。通常市盈率数值愈低愈具有投资价值,至于数值应该多少适合买进,并没有一定的理论,一般较有经验的投资人在10~15之间买卖。但是在实际进行投资时,仍须考虑其他影响股价和盈余的客观因素。
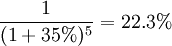
此外在我国现通用的是动态市盈率,其计算公式是以静态市盈率为基数,乘以动态系数,该系数为1/,i为企业每股收益的增长性比率,n为企业的可持续发展的存续期。比如说,上市公司目前股价为20元,每股收益为0.38元,去年同期每股收益为0.28元,成长性为35%,即i=35%,该企业未来保持该增长速度的时间可持续5年,即n=5,则动态系数为

。相应地,动态市盈率为11.74。即:52.63(静态市盈率:20元/0.38元=52)×22.3%。














