1、成份股的选择
样本空间:所有正常交易的中国A股股票中,上市时间满三个自然月的非ST、PT类股票。
样本数量:200只股票。
选样标准:市场规模(自由流通市值);流动性(成交金额)。
选样方法:在确定样本空间的基础上,实践指数根据以下四个步骤选样。
根据过去一年的日均数据,先计算候选样本股的“时间加权自由流通市值”(PC)和“时间加权成交金额”(PA),公式如下:

式中:N为候选股最近一年的交易天数,最近一个交易日为第N天,最早一个交易日为第1天。
计算候选样本股的PC和PA值在全部候选股中的排名(从大到小),然后确定各样本股的选股指标:
选股指标=max(PC排名×1.5,PA排名)
选股指标最小的200只样本股入选指数成份股。
2、样本股的调整
实践指数依据样本稳定性和动态跟踪相结合的原则,每半年调整一次成份股,每次调整比例一般不超过10%。特殊情况时也可能对样本进行临时调整。
成份股调整时间分别为每年6月和12月的第一个交易日,调整计算指标市场数据的截止日分别为每年4月和10月的最后一个交易日,财务数据为最近一期公开公布的报表数据(调整为年化数据,调整方法为:本期+上年度-上年度同期,例如一季度年化净利润为:一季度净利润+上年度净利润-上年一季度净利润)。
调整方法:每次调整时,首先按照前述选样方法确定样本空间的选股指标,然后保留样本空间中选股指标排在前240名的原成份股,以及原成份股中选股指标排在前180名的成份股,如果保留的原成份股数量不足200只,不足部分用排名最靠前的新成份股补足至200只。
3、指数的权数及计算公式
实践指数采用派氏加权指数公式逐日连锁计算,以成份股在指数中的PC占比和PA占比综合计算权数调整因子,权数调整因子一经确定,至下次成份股调整前,一直保持不变,权数确定公式如下。

式中:PCi为第i只成份股的时间加权自由流通市值,PAi为第i只成份股的时间加权成交金额。fi的上限值为1.5。

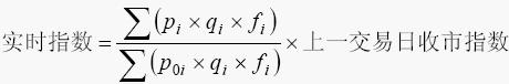
式中:pi为成份股实时成交价格,如无实时成交价格,则令pi=p0i;p0i为成份股上一交易日收市价;qi为成份数自由流通股数;fi为成份数要数调整因子。
连锁计算法的调整计算包括以下三种情况:
1)调整成份股的范围:即调整子项和母项中Σ的汇总范围,将某股票纳入(或剔出)指数的计算。
2)调整母项中某成份股的上一交易日收市价:指在某成份股的市场价格出现除权现象时,在除权除息日将母项中该成份股的股权登记日收市价更新为除权参考价。
3)调整子项和母项中某成份股的权数:即当某一成份股自由流通股数发生变化时进行调整。














