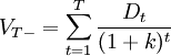
第一部分包括在股利无规则变化时期的所有预期股利的现值。用VT 表示这一部分的现值,它等于:

(1)
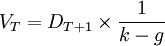
第二部分包括从时点T来看的股利不变增长率时期的所有预期股利的现值。因此,该种股票在时间T的价值(VT),可通过不变增长模型的方程:

求出:

(2)
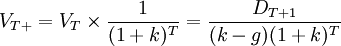
但目前投资者是在t=0时刻,而不是t=T时刻来决定股票现金流的现值。于是,在T时刻以后t=0时的所有股利的贴现值VT+:

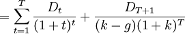
根据方程(1),我们得出直到T时刻为止的所有股利的现值,根据方程(3),得出T时刻以后的所有股利的现值,于是这两部分现值的总和即是这种股票的内在价值。用公式表示如下:
V=VT +VT+

(4)
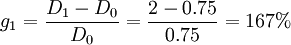
例如,假定A公司上年支付的每股股利为0.75元,下一年预期支付的每股股利为2元,因而:

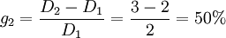
再下一年预期支付的每股股利为3元,即:

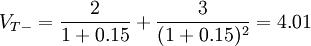
从T=2时,预期在未来无限时期,股利按每年10%的速度增长,即D3=D2(1+0.10)=3×1.1=3.3(元)。假定必要收益率为15%,可按下面式子分别计算VT 和VT+:

(元)

VT +VT+=4.01+49.91=53.92
该价格与目前每股股票价格55元相比较,似乎股票的定价相当公平,即可以说,该股票没有被错误定价。
零增长模型和不变增长模型都有一个简单的关于内部收益率的公式,而对于多元增长模型而言,不可能得到如此简洁的表达式。在方程(4)中,用P代替V,用k*代替k,可得到:

(5)
虽然我们不能得到一个简洁的内部收益率的表达式,但是仍可以运用试错方法,计算出多元增长模型的内部收益率。即说,在建立方程(5)之后估计k*,当代入一个假定的k*后,如果方程右边的值大于P,说明假定的k*太小;相反,如果代入一个选定的k*值,方程右边的值小于P,说明选定的k*太大。继续试选k*,最终能找到使等式成立的k*。
按照这种试错方法,我们可以得出A公司股票的内部收益率是14.9%。把给定的必要收益15%和该近似的内部收益率14.9%相比较,可知,该公司股票的定价相当公平。














