t——当日;
n——时间长度;
Ci——第i日的收盘价;
Hi——第i日的最高价;
Li——第i日的最低价。
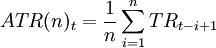
计算公式:


其中:
TRi=max{|Hi Li|,|Ci 1 Hi|,|Ci 1 Li 1|
注:一般取n=14,m=6。
浏览
t——当日;
n——时间长度;
Ci——第i日的收盘价;
Hi——第i日的最高价;
Li——第i日的最低价。
计算公式:


其中:
TRi=max{|Hi Li|,|Ci 1 Hi|,|Ci 1 Li 1|
注:一般取n=14,m=6。