如果企业股利不断稳定增长,并假设每年股利增长均为g,目前的股利为D0,则第t年的股利为:
Dt=D0(1+g)t
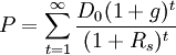
固定成长股票的价值的计算公式为:

当g固定时,上述公式可简化为:

如要计算股票投资的预期报酬率,则只要求出上述公式中Rs即可:
Rs=(D1/P0)+g
例如,某企业股票目前的股利为4元,预计年增长率为3%,投资者期望的最低报酬率为8%,则该股票的内在价值为:

=82.4(元)
若按82.4元买进,则下年度预计的投资报酬率为:
Rs=(D1/P0)+g
=4×(1+3%)÷82.4+3%
=8%














