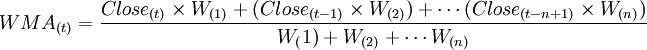
加权移动平均线的公式如下:

where
W(t)=weightfactor
加权移动平均线是一种显示于图表上的辅助指针。乾坤烛图可于同一时间内显示三条平均线,将10支烛、20支烛及50支烛的平均线为设定参数,并可以收市价、最高价、最低价及聚焦点计算。而200支烛也是投资者最为常用参数之一。
大部份技术分析者利用简单移动平均线设定一个买卖系统。利用两条平均线中较短期的一条作为讯号线。例如:当短期的平均在线穿较长期的平均线,显示牛市在即,策略订为造好不造淡;相反,当短期的平均线下穿较长期的平均线,显示熊市在即,策略订为造淡不造好。
加权移动平均线亦可作支持及阻力之用。当市况向跌破时沽出,升破时买进,简单移动平均线便会在部份情况下反映强烈的支持或阻力。50支烛及200支烛通常都会被视为计算支持及阻力之用。
正因加权移动平均线强调将愈近期的价格比重提升,故此当市况倒退时,加权移动平均线比起其它平均线更容易预测价格波动。














