分水岭指标的构成

浏览

分水岭指标的构成

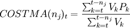
t——当日;

m——不同时间间隔的成本均线值的条数;

nj第j条成本均线的时间长度。

计算公式:

分水岭指标的构成

其中:

分水岭指标的构成

(第t日以nj为时间长度的成本均线值)

注:一般取m=4,n1=5n2=10n3=30n4=60


相关文章