三个阶段的红利增长关系可以用图表示:

从图能够看出:公司股票的价值是高增长阶段、过渡阶段的预期红利的现值和稳定增长阶段价格的现值总和。并且当t等于Ta时,红利增长率等于ga;当t等于Tn时,红利增长率等于gn;在过渡期内任何时点上的红利增长率(根据假设):

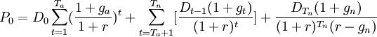
如果再假定初期的红利水平D0,写出三阶段增长模型的计算公式为:

其中:r—股权要求收益率(假定其不变,可以放宽该假设)
上式中的三项分别对应于红利的三个增长阶段。且我们也能够看到此公式较为复杂,使用起来不方便。不过,大家不必担心,目前已有人将它编成程序写在计算器里,只要输入变量值就能算出结果。














