生命表中各项指标均随年龄而定,是年龄x的函数。对于不同指标来说,年龄x一栏的数值具有不同涵义。对于l、Tx、x,年龄x是指达到某确切年龄,如l2即表示正好活到第二个生日的人数。对于qx、dx、lx,年龄x则是指从确切年x至x+1岁之间的这一岁年龄区间,如d2即表示在第二个生日和第三个生日之间死亡的人数。
年龄x=0分别表示刚出生的那一刻或从出生至第一个生日之间的年龄区间。活到每一个确切年龄x的人在未来的一岁间隔(也即未来的一年时间)内,均有死亡的可能。不同年龄的这种死亡可能性大小不同,死亡概率qx即指活到x岁的人在x至x+1岁间死亡的可能性。各年龄死亡概率的数值根据实际调查的各年龄死亡率计算而得,它是整个生命表的基础,其他指标均由此衍生而出。
lx表示活到确切年龄x岁的人数,称尚存人数。l0即确切年龄0岁人数,也即出生人数。生命表中的计算均从l0开始,故l0称为生命表的基数。显然,表中其他各栏人数均随l0的取值而定。
一般生命表中为使人数保持整数,多取l0=100000;也可取l0=1,则表中各栏人数均成为与l0的比例系数,更便于用来进行各种计算。
从l0出发,在0~1岁间隔内,按死亡概率q0,将会有d0人死亡,d0=l0·q0。活到1周岁的尚存人数

同理

一般而言,则有


可见,有了各年龄死亡概率qx的数值,又给定基数l0,便可计算出各年龄尚存人数lx和死亡人数dx。
生存人年数Lx指已活到确切年龄x岁的lx人在x至x+1岁间所活的人年数。由于在这一岁间隔内死亡的人是陆续死去的,既活了一段时间,又未满一年,所以lx>Lx>lx+1。在1岁一组的年龄组中,Lx也可看做是x至x+1岁这一年龄间隔内的平均人数。若假定死亡是均匀分布的,则

在最低几个年龄组和高年龄组,可加某些修正。
将已活到确切年龄x岁者以后预期可活的人年数加以累计,即得x岁以后预期生存人年总数Tx。
对于已活到确切年龄x岁的lx人而言,每人平均预期尚可再活x年,

,称为平均余寿

,也有人称之为平均余年。出生时的平均余寿,通称平均预期寿命或平均寿命。它表明按生命表中各年龄的死亡概率计算,一个初生婴儿平均预期可活多少岁。
生命表中的年龄间隔,可以是1岁一组,也可以是5岁一组或10岁一组。前者称为完全生命表,后者称为简略生命表。简略生命表中往往也把0岁组单独列出。
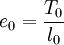
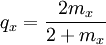
生命表中的死亡概率由实际调查所得的分年龄死亡率换算得到。通常用的最简单的公式为1岁组

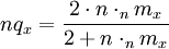
n岁组

式中qx与mx分别为x岁组的死亡概率和死亡率,nqx与nmx分别为(x~x+n)年龄组的死亡概率和死亡率。
生命表的原意是反映同一批人陆续死亡减少过程当中各年龄人数之间的比例关系,以及这批人活到各年龄时的平均余寿。整个生命表的推理过程都是针对一批人而言的,但实际编制生命表时,通常都是根据某一年或连续几年不同批人的死亡率,因而反映的是该时期的死亡水平,称为时期生命表。反之,根据某同批人经历各年龄时的死亡率而编制的生命表,则称为同批人生命表或一代人生命表。
当人口死亡率变化不大时,可利用生命表进行各种人口数的估计推算。根据某年出生人数或某年龄人数推算若干年后相应年龄的人数。例如,从1988年出生人数估计1995年年底年满7岁不到8岁的人数

根据1982年普查时10岁女孩人数预测1992年年中达到法定最低婚龄的女青年人数

根据某地区、某时期实际死亡率水平编制的生命表,只能反映该地区、该时期情况。有人综合许多不同死亡水平的生命表,编制成与各种不同0值相应的成套的生命表,称为模型生命表,可供缺乏资料的国家或地区使用。








