[拼音]:daqi donglixue
[外文]:atmospheric dynamics
用流体力学的方法研究大气运动的学科,是动力气象学的重要分支。它从分析地球大气中的作用力入手,研究这些力和运动的关系,探索大气运动的基本规律和机制。
大气运动的形式是多种多样的,不同的运动形式有不同的特点,它们的差别,主要是由促使大气运动的作用力不同而造成的。这自然会影响到大气运动的水平尺度。根据水平尺度ι的大小,可粗略地把大气运动分成:大尺度运动(ι的量级约为103公里),如大气的长波和超长波;中尺度运动(ι的量级约为102公里),如台风、中尺度低压和气旋;小尺度运动(ι的量级约为10公里),如雷暴和龙卷(见天气系统)。
研究的特点大气运动的空间尺度不同,描写各种运动形式的动力方程组简化的形式也不同(见大气动力方程)。但一般说来,运动由其主要因子(基本力)所决定。因此,大气动力学的任务,首先是区分不同类型的大气运动的主要因子和次要因子,然后针对不同情况,将大气动力方程组,作合乎实际的简化,求出方程组的解。这些解反映了特定大气运动的基本状态,同时也清楚地反映了这些运动状态演变的物理过程。
特征参数地球大气的基本作用力,有重力、科里奥利力、气压梯度力和粘性力(摩擦力)。在不同尺度的大气运动中,由于作用力不同,其惯性加速度也不同。一般将空气水平运动的惯性力和科里奥利力的比值,定义为罗斯比数,它可表示为
式中ι为大气运动的水平特征尺度,u为水平风速特征尺度,f=2ωsinφ(ω为地球自转角速度,φ为纬度)为科里奥利参数。显然,ι越大,Ro 越小,科里奥利力的作用就越重要。中纬地区的大气运动,u≈ 10米/秒,f≈10-4秒-1。在大尺度运动的情形下,Ro 约为1/10,这说明惯性力比科里奥利力小得多,在最粗略的近似下可以略去。这样,气压梯度力将和科里奥利力平衡,而形成地转风。至于中尺度运动,Ro ≈1。可见,罗斯比数是描写大气水平运动特性的一个重要参数。
另一方面,把铅直方向的惯性力和阿基米德浮力之比定义为弗劳德数,即
这里w是大气运动铅直速度的特征尺度;孒 是大气的平均密度;x′是密度变化的特征量;g 是重力加速度;啛是大气标高(均质大气高度),一般为8公里。当弗劳德数Fγ<<1时,运动是准静力的。倘若Fγ≥1,即w较大时,则运动将是非静力的。一般大尺度运动都是准静力的。
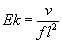
研究大气边界层的运动时,常引入埃克曼数,它定义为粘性力和科里奥利力之比,即
式中v是涡旋运动粘度。如果Ek<<1,粘滞力可以忽略不计;若Ek>>1,粘滞力的作用将显得很重要。一般在行星边界层中才需要考虑涡旋粘性对运动的影响。
随着近代数学和计算技术的发展,大气动力学的研究,已深入到更广泛的领域,成为天气学、气候学和数值天气预报的基础。
- 参考书目
- 郭晓岚讲授,朱伯承整理:《大气动力学》,江苏科学技术出版社,南京,1981。J.Pedlosky,GeophysicalFluid Dynamics,Verlag,New York,1979.