[拼音]:zhongli jiasudu
[外文]:acceleration of gravity
物体在只有地球引力作用的情况下自由下落的加速度。其大小用g表示,其方向指向地球的中心。
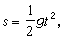
早在1589~1592年间,伽利略就进行了物体从光滑斜面上加速下滑的实验,得出的结论是:物体在重力作用下的运动规律和物体的轻重无关,总是
式中s为物体在时间t内下落的距离,ɡ是下落时的加速度,即重力加速度。
地球表面上同一地点的物体,不论其质量如何,都具有相同的重力加速度。但是由于地球本身的非均匀性,地球不是一个真正的球体;又由于地球绕地轴自转时在某点产生的离心力,随离地轴的远近而异。在地球表面上的不同地点有不同的重力加速度值,可用下列公式计算
ɡ=978.03(1+0.0052884sin2嗞-0.0000059sin22嗞)
式中嗞为物体所在的纬度值。
例如,北京约处于北纬40°,所以北京地区的重力加速度的值约为g=980.17×10-2m/s2。通常取ɡ=980×10-2m/s2是平均纬度地带的一个约值。
在地球表面的同一地点,重力加速度ɡ和物体离地面的高度h也有关,表示为
对于很小的h,
式中
为物体在同一地点的地球表面上的重力加速度,G为引力常数, me和Re分别为地球的质量和半径。
可利用倒摆仪或绝对重力仪直接测定地面上点的重力加速度。利用所测得的结果可以研究地球的形状变化。同时,由地面上各点的重力加速度值的异常变化,可以间接地了解地下密度和地质构造及矿藏的埋藏情况,这是地球物理探矿的方法之一。