离子溶剂化

浏览

描述在无限稀释下离子-溶剂间相互作用的术语,这种作用是决定电解质溶液、溶质和溶剂性质的首要因素。表征离子溶剂化的热力学过程是成对的气态离子进入溶剂中:

C+(g)+A-(g)─→C+(s)+A-(s)

式中C+、A-为一对离子;g表示气态;s表示溶剂化。由玻恩- 哈伯循环可得到上述过程的热力学性质的变化:

公式 符号

式中S为溶剂。根据测量的溶解热ΔHsn和晶格能U1,可以求出溶剂化热ΔHs

邻近离子的水的结构

在离子电场的作用下,邻近离子的溶剂结构发生了变化,迄今还没有实验手段能得出确切的微观图像。另外,由于中心离子的特性、价型和半径的不同,将导致与溶剂间相互作用和结构现象的差别,不同溶剂的性质差异更使问题复杂化,因此有着多种近似地描述离子近区溶剂结构的模型。图 1

图

描述水溶液中一个半径不大的简单离子的模型。它把邻近离子的水的结构看成三个区域:

(1)结构形成区,该区紧靠离子,该区中的水分子沿着离子电场取向,它们是随同中心离子运动的。

(2)结构破坏区,它邻接结构形成区,在这个区域内,溶剂本体的正常结构有一定程度的改变,但这些水分子不参与离子的平移运动。

(3)本体区,为距离离子足够远的区域,在这个区域内,离子电场不足以对溶剂结构产生影响,水依然体现如同本体一样的四面体向键接网络的结构特征和动态性质。

溶剂化数

在溶液中与离子缔合的溶剂分子数 n称溶剂化数。以水溶液为例,离子淌度实验表明,在离子运动过程中,表现有一个水壳层随同,根据这壳层体积就可得出该离子的水化数n′;由离子水化熵的实验值,可得到与离子结合而失去平动自由度的水分子数;由溶液的压缩系数实验,可得出由于离子电场的强烈电缩效应,在一定范围的外压影响下不再发生体积变化的水分子数。另外,介电性质、偏摩尔体积测量等方法所得的n值也不完全一致,但反映的都是那些与离子牢固缔合的水分子数,称为一级(原)水化数n1

与图 1中结构形成区对应的壳层称原水化层,在它的外面,有更多的水分子不同程度地受离子电场的影响,发生二级水化。有的性质(如水的活度系数)所导出的水化数远大于离子的配位水分子数(4,6),这是由于这项性质反映了二级水化部分。

在理论上,把离子相互作用能大于某一界限的水分子定义为水化水,从而得出水化数的计算值。

图

离子水化能的计算

根据一定的模型可对离子水化吉布斯函数、焓和熵的变量ΔGi-s、ΔHi-s、ΔSi-s进行理论计算。i-s表示离子-溶剂相互作用。计算可达到两个目的,一是将计算结果与实验结果进行比较,以便深入认识离子-溶剂相互作用的机理;二是求得单一离子的某些热力学函数值。所用模型有连续介质模型和分立的分子模型。

连续介质模型

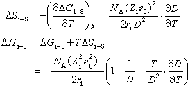
1920年M.玻恩把溶剂看作连续介质,其性质完全由溶剂本体的介电常数D体现,把离子看作半径为ri和带有电荷Zie0的圆球。溶剂化吉布斯函数的定义是,把1摩尔自由离子从真空转移到溶剂中的吉布斯函数变化,它所对应的就是离子-溶剂相互作用。玻恩假设把求取溶剂化吉布斯函数归结为带电圆球自真空至介质的转移功的计算,这个计算可由图2

图

示意的循环实现。根据能量守恒定律,图2中四项功的代数和为零,从而得出: ΔGi-s=真空中离子的失电功+溶剂中离子的充电功

公式 符号

式中NA阿伏伽德罗数。根据热力学关系可得出溶剂化熵和焓的计算式:

公式 符号

式中T为热力学温度;p为压力。

分立的分子模型

1933年J.D.伯纳尔和R.H.否勒奠定了这类模型和计算步骤的基础,图3

图

是他们提出的离子和邻接水分子间相互作用的模型。图中表明,与离子邻接配位水分子数为 4,水分子所处位置是正四面体的顶角,水分子偶极矩沿离子电场完全取向,两个氢键方向朝着中心离子;另外两个氢键方向朝着结构破坏区(图 1)。上述处理中,以这些成氢键位置与结构破坏区水分子形成氢键代表结构形成区和结构破坏区溶剂间的相互作用。

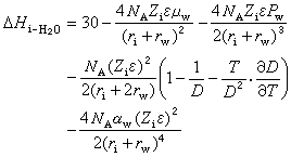
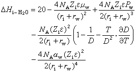
J.O.博克里斯建议用下式表达正离子溶剂化热:

公式 符号

负离子水化热的表达式为:

公式 符号

式中μw为水分子的偶极矩;ε为介电常数;Pw为水分子四极矩;αw为水分子的极化率;rw为水分子的半径。上面两个公式是按1摩尔离子和4摩尔水分子计量的,第一项为经验项;第二项为离子-水分子偶极矩相互作用;第三项为离子-水分子四极矩相互作用;第四项为博恩过程静电功;第五项为离子-水分子诱导偶极矩相互作用。

参考书目
  1. B.E.Conway,Ionic Hydration in Chemistry and Biophysics, Elsevier Scient, Amsterdam,1981
  2. .