[拼音]:fenzili
[外文]:molecular force
又称分子间力。分子间的相互作用。当二分子比较接近时,主要表现为吸引力。这种力主要来源于一个分子被另一个分子随时间迅速变化的电偶极矩所极化而引起的相互作用。当二分子非常接近时,则排斥力成为主要的。这是由于各分子的外层电子云开始重叠而产生的排斥作用。
分子间的相互作用力很复杂,为了处理问题方便,常采用一些简化模型。例如:假设分子间的相互作用力有球对称性,并近似地用半经验公式表示:
式中r为两个分子中心间的距离,λ、μ、s、t都是要由实验确定的正数,第一项代表斥力,第二项代表引力。由于s>t,斥力的有效作用距离比引力的小。图1中两条虚线分别表示斥力和引力随距离的变化,在
处斥力和引力相互抵消,这个位置叫做平衡位置。
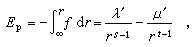
通常也用分子间的势能曲线描写其相互作用。分子力是保守力,当两个分子间的距离改变dr时,分子间势能的增量就等于分子力f在距离dr内所做的功的负值,即dEp=-fdr。r→∞时,Ep→0,距离为r时的势能是
式中
图2中的实线表示分子的势能曲线,在平衡位置 r=ro处,分子力f=0,所以这里的势能有极小值。当r<ro时,势能曲线很陡,有负的斜率,这区间内有很强的斥力;当r>ro时,势能曲线有正的斜率,是引力作用区。
如分子在平衡位置r=ro附近处的动能小于势能的绝对值,则分子不能自由移动而在平衡位置附近作微小振动,这时物质处在凝聚态(液态或固态)。
1924年J.E.勒纳-琼斯用u=λr-m-μr-n来表示分子间的势能,叫做勒纳-琼斯势,1930年F.伦敦应用量子力学理论证明了n=6,勒纳-琼斯的分子作用能公式虽然能解释第二维里系数的实验数值,但量子力学理论证明这种作用能的形式并不正确,而理论上的近似公式应当采取下列形式:
式中p、ρ、μ 都是常数,应由实验确定。