[拼音]:liangzi lixue
[外文]:quantum mechanics
物理学的一个分支学科。它研究微观粒子的运动规律,是研究原子、分子、凝聚物质以至原子核和基本粒子的结构和性质的基础理论。量子力学不仅是近代物理学的基础理论之一,而且在化学等有关学科和许多近代技术中也得到了广泛的应用。
在人们认识到光具有波动和微粒的二象性之后,为了解释一些新发现的经典理论无法解释的现象,法国物理学家L.V.德布罗意于1923年提出微观粒子具有波粒二象性的假说。德布罗意认为:正如光具有波粒二象性一样,实体的微粒(如电子、原子等)也具有这种性质,即既具有粒子性也具有波动性。这一假说不久就为实验所证实。
由于微观粒子具有波粒二象性,微观粒子所遵循的运动规律就不同于宏观物体的运动规律,描述微观粒子运动规律的量子力学也就不同于描述宏观物体运动规律的经典力学。当粒子的大小由微观过渡到宏观时,它所遵循的规律也由量子力学过渡到经典力学。经典力学是量子力学的极限情况。
量子力学与经典力学的差别首先表现在粒子的状态和力学量的描述及其变化规律上。在量子力学中,粒子的状态用波函数Ψ(r,t)描述,它是坐标r和时间t的复函数。Ψ(r,t)的绝对值二次方乘上F 处的体积元dτ与粒子在这个体积元中出现的几率p(r,t)成比例,
,
式中с是一个常数。
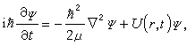
为了描写微观粒子状态随时间变化的规律,就需要找出波函数所满足的运动方程。这个方程是E.薛定谔在1926年首先找到的,被称为薛定谔方程,它的形式为
式中μ是粒子的质量,U(r,t)是粒子所在力场的势函数。量子力学要求,波函数
不单要满足薛定谔方程,还必须满足以下条件:波函数在变量变化的全部区域内是单值的,除有限个点外是有限的和连续的。这个条件常被称为波函数的标准条件。
其次,量子力学中力学量所取的形式也不同于经典力学中的力学量。当微观粒子处于某一状态时,它的力学量(如坐标、动量、角动量、能量等)一般不具有确定的数值,而具有一系列可能值,每个可能值以一定的几率出现。当粒子所处的状态确定时,力学量具有某一可能值的几率也就完全确定。
算符是对波函数进行某种数学运算的符号。我们在代表力学量的文字上加“∧”号以表示这个力学量的算符。例如当粒子的状态用波函数徰(r,t)描写时,坐标算符惲和动量算符孨分别为
其他在经典力学中能用r和p的函数
F=F
(r,p)表示的力学量(如角动量、能量等),在量子力学中的表示式由上式中的r、p改用算符惲、孨代入而得出
。
在Ψ态中对力学量弲进行多次测量,把所得结果加以平均,就得出力学量弲在Ψ态中的期待值,以<F>表示
。
上式称为力学量的期待值公式。
除了用波函数描写状态,用作用于函数的算符描写力学量这种函数描述方式之外,量子力学还有一种与此等价的矩阵描述方式,就是用一列矩阵描写状态,而用多行多列的方矩阵描写力学量。前者称为波动力学而后者称为矩阵力学,两种描述方式有确定的互相变换的关系。
量子力学是在旧量子论建立之后发展建立起来的。旧量子论对经典物理理论加以某种人为的修正或附加条件以便解释微观领域中的一些现象。由于旧量子论不能令人满意,人们在寻找微观领域的规律时,从两条不同的道路建立了量子力学。1925年W.K.海森伯、M.玻恩、E.P.约旦等人从修改经典分析力学的途径建立了矩阵力学。另一方面薛定谔根据德布罗意的波粒二象性假说在1926年建立了波动力学。后来,薛定谔证明了波动力学与矩阵力学是完全等价的,是统一的量子力学的两种不同描述方式。